Critto María Elena, Enriquez Yordanis, Bravo Miguel, Quevedo Lenin de Janon, Weinberg Ruth, Etchegaray Adolfo, Koch Elard S
Division of Epidemiology, MELISA Institute, Concepción, Chile.
Programa de Doctorado en Sociología, Facultad de Ciencias Sociales, Pontificia Universidad Católica de Argentina, Ciudad de Buenos Aires, Argentina.
Lancet Reg Health Am. 2021 Nov 19;6:100116. doi: 10.1016/j.lana.2021.100116. eCollection 2022 Feb.
Emerging pandemic viruses may have multiple deleterious effects on maternal health. This study examines the effects of a pandemic influenza virus on cause-specific maternal mortality time series, using Argentinian vital statistics.
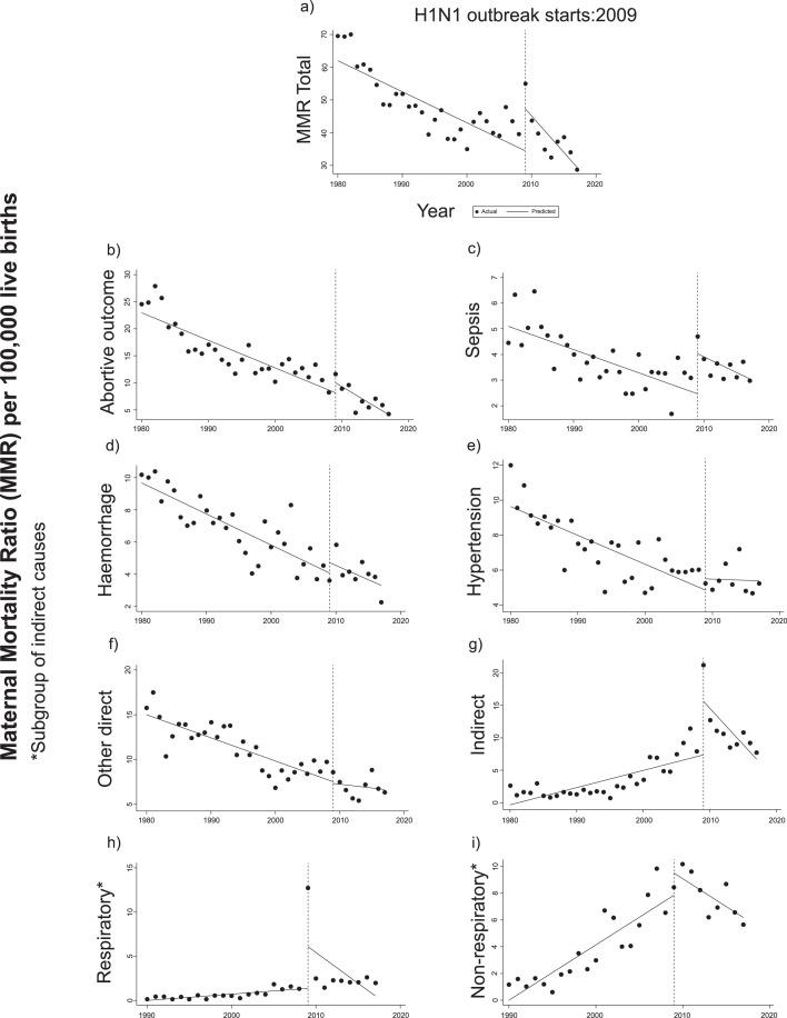
We conducted a population-based natural experiment from national vital records of maternal deaths between 1980 and 2017. Joinpoint regression models were used to model time series of the maternal mortality ratio (MMR). The sensitivity of the registry to detect the effects of the pandemic H1N1 2009 influenza virus on cause-specific MMR was analysed using a panel of parallel interrupted time series (ITS).
Over this 38-year study, the MMR decreased by 58·6% (69·5 to 28·8 deaths/100,000 live births), transitioning from direct obstetric causes (67·0 to 21·1/100,000 live births; 68·4% decrease) to indirect causes (2·6 to 7·7/100,000 live births; 196·2% increase). The regression analysis showed an average reduction of -2·2%/year (95% CI: -2·9 to -1·4) with 2 join points in the total trend (1998 and 2009). Parallel ITS analyses revealed the pandemic H1N1 virus had an increasing effect on mortality from the respiratory system- and sepsis-related complications (level change 4·7 and 1·6/100,000 live births respectively), reversing after the outbreak. No effect was found on MMR from hypertensive disorders, haemorrhage, abortive outcomes, other direct obstetric causes, and indirect non-respiratory comorbidities.
The Argentinian maternal death registry appears sensitive to detect different effects of emerging infectious epidemics on maternal health. In a population-based natural experiment, pandemic H1N1 virus impacted maternal mortality almost exclusively from the respiratory system- and sepsis-related complications.
Supported by FISAR www.fisarchile.org.
新出现的大流行病毒可能对孕产妇健康产生多种有害影响。本研究利用阿根廷的人口动态统计数据,考察了一种大流行性流感病毒对特定病因的孕产妇死亡率时间序列的影响。
我们基于1980年至2017年间全国孕产妇死亡记录进行了一项基于人群的自然实验。采用连接点回归模型对孕产妇死亡率(MMR)的时间序列进行建模。使用一组平行中断时间序列(ITS)分析登记系统检测2009年甲型H1N1大流行性流感病毒对特定病因MMR影响的敏感性。
在这项为期38年的研究中,MMR下降了58.6%(从每10万例活产69.5例死亡降至28.8例死亡),死因从直接产科原因(每10万例活产67.0例降至21.1例;下降68.4%)转变为间接原因(每10万例活产2.6例增至7.7例;增加196.2%)。回归分析显示,总体趋势中有2个连接点(1998年和2009年),平均每年下降-2.2%(95%CI:-2.9至-1.4)。平行ITS分析显示,甲型H1N1大流行病毒对呼吸系统和败血症相关并发症导致的死亡率有增加作用(水平变化分别为每10万例活产4.7例和1.6例),疫情爆发后这种作用逆转。未发现高血压疾病、出血、流产结局、其他直接产科原因以及间接非呼吸系统合并症对MMR有影响。
阿根廷孕产妇死亡登记系统似乎能够灵敏地检测新出现的传染病流行对孕产妇健康的不同影响。在一项基于人群的自然实验中,甲型H1N1大流行病毒对孕产妇死亡率的影响几乎完全来自呼吸系统和败血症相关并发症。
由FISAR(www.fisarchile.org)资助。