Suppr超能文献

KRAS 肺腺癌浸润免疫细胞和分泌或膜相关蛋白的特征分析。

Characterization of Infiltrating Immune Cells and Secretory or Membrane-Associated Proteins in KRAS Lung Adenocarcinoma.

机构信息

Department of Thoracic Surgery, Zhongshan Hospital, Fudan University, Shanghai, China.

出版信息

J Immunol Res. 2023 Feb 6;2023:4987832. doi: 10.1155/2023/4987832. eCollection 2023.

Abstract

BACKGROUND

This study identified the expression and prognosis significance of secretory or membrane-associated proteins in KRAS lung adenocarcinoma (LUAD) and depicted the characteristics between the immune cell infiltration and the expression of these genes.

METHODS

Gene expression data of LUAD samples ( = 563) were accessed from The Cancer Genome Atlas (TCGA). The expression of secretory or membrane-associated proteins was compared among the KRAS-mutant, wild-type, and normal groups, as well as the subgroup of the KRAS-mutant group. We identified the survival-related differentially expressed secretory or membrane-associated proteins and conducted the functional enrichment analysis. Then, the characterization and association between their expression and the 24 immune cell subsets were investigated. We also constructed a scoring model to predict KRAS mutation by LASSO and logistic regression analysis.

RESULTS

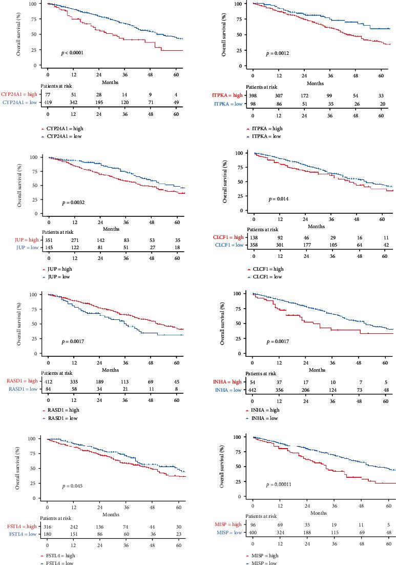
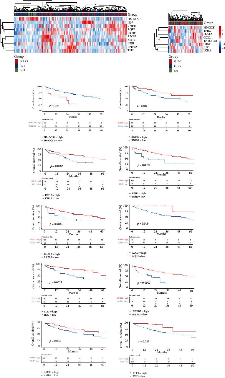
Secretory or membrane-associated genes with differential expression ( = 74) across three groups (137 KRAS LUAD, 368 wild-type LUAD, and 58 normal groups) were identified, and the results of GO and KEGG indicated that they were strongly associated with immune cell infiltrations. Among them, ten genes were significantly related to the survival of patients with KRAS LUAD. The expression of IL37, KIF2, INSR, and AQP3 had the most significant correlations with immune cell infiltration. In addition, eight DEGs from the KRAS subgroups were highly correlated with immune infiltrations, especially TNFSF13B. Using LASSO-logistic regression, a KRAS mutation prediction model based on the 74 differentially expressed secretory or membrane-associated genes was built, and the accuracy was 0.79.

CONCLUSION

The research investigated the relationship between the expression of KRAS-related secretory or membrane-associated proteins in LUAD patients with prognostic prediction and immune infiltration characterization. Our study demonstrated that secretory or membrane-associated genes were closely associated with the survival of KRAS LUAD patients and were strongly correlated to immune cell infiltration.

摘要

背景

本研究鉴定了 KRAS 肺腺癌(LUAD)中分泌或膜相关蛋白的表达及预后意义,并描绘了这些基因的表达与免疫细胞浸润之间的特征。

方法

从癌症基因组图谱(TCGA)中获取 LUAD 样本(=563)的基因表达数据。比较 KRAS 突变、野生型和正常组以及 KRAS 突变组亚组之间分泌或膜相关蛋白的表达。我们鉴定了与生存相关的差异表达分泌或膜相关蛋白,并进行了功能富集分析。然后,研究了它们的表达与 24 种免疫细胞亚群之间的特征和关联。我们还通过 LASSO 和逻辑回归分析构建了一个预测 KRAS 突变的评分模型。

结果

鉴定了三组(137 例 KRAS LUAD、368 例野生型 LUAD 和 58 例正常组)之间差异表达的分泌或膜相关基因(=74),GO 和 KEGG 结果表明它们与免疫细胞浸润密切相关。其中,有 10 个基因与 KRAS LUAD 患者的生存显著相关。IL37、KIF2、INSR 和 AQP3 的表达与免疫细胞浸润的相关性最大。此外,KRAS 亚组的 8 个 DEG 与免疫浸润高度相关,特别是 TNFSF13B。通过 LASSO-逻辑回归,构建了基于 74 个差异表达分泌或膜相关基因的 KRAS 突变预测模型,准确率为 0.79。

结论

本研究探讨了 LUAD 患者中 KRAS 相关分泌或膜相关蛋白的表达与预后预测和免疫浸润特征之间的关系。我们的研究表明,分泌或膜相关基因与 KRAS LUAD 患者的生存密切相关,与免疫细胞浸润强烈相关。

https://cdn.ncbi.nlm.nih.gov/pmc/blobs/9e84/9925262/3024d0afa743/JIR2023-4987832.001.jpg

文献AI研究员

20分钟写一篇综述,助力文献阅读效率提升50倍。

立即体验

用中文搜PubMed

大模型驱动的PubMed中文搜索引擎

马上搜索

文档翻译

学术文献翻译模型,支持多种主流文档格式。

立即体验