Natural and Medical Science Research Center, University of Nizwa, Nizwa 616, Oman.
Department of Engineering Technology, University of Houston, Sugar Land, TX 77479, USA.
Int J Mol Sci. 2023 Mar 3;24(5):4904. doi: 10.3390/ijms24054904.
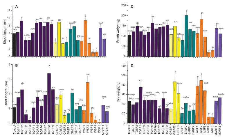
Salinity stress is one of the major abiotic factors limiting crop yield in arid and semi-arid regions. Plant growth-promoting fungi can help plants thrive in stressful conditions. In this study, we isolated and characterized 26 halophilic fungi (endophytic, rhizospheric, and soil) from the coastal region of Muscat, Oman, for plant growth-promoting activities. About 16 out of 26 fungi were found to produce IAA, and about 11 isolates (MGRF1, MGRF2, GREF1, GREF2, TQRF4, TQRF5, TQRF5, TQRF6, TQRF7, TQRF8, TQRF2) out of 26 strains were found to significantly improve seed germination and seedling growth of wheat. To evaluate the effect of the above-selected strains on salt tolerance in wheat, we grew wheat seedlings in 150 mM, 300 mM NaCl and SW (100% seawater) treatments and inoculated them with the above strains. Our findings showed that fungal strains MGRF1, MGRF2, GREF2, and TQRF9 alleviate 150 mM salt stress and increase shoot length compared to their respective control plants. However, in 300 mM stressed plants, GREF1 and TQRF9 were observed to improve shoot length. Two strains, GREF2 and TQRF8, also promoted plant growth and reduced salt stress in SW-treated plants. Like shoot length, an analogous pattern was observed in root length, and different salt stressors such as 150 mM, 300 mM, and SW reduced root length by up to 4%, 7.5%, and 19.5%, respectively. Three strains, GREF1, TQRF7, and MGRF1, had higher catalase (CAT) levels, and similar results were observed in polyphenol oxidase (PPO), and GREF1 inoculation dramatically raised the PPO level in 150 mM salt stress. The fungal strains had varying effects, with some, such as GREF1, GREF2, and TQRF9, showing a significant increase in protein content as compared to their respective control plants. Under salinity stress, the expression of and genes was reduced. However, the gene, on the other hand, was shown to be highly elevated during salt stress conditions, whereas the opposite was observed in inoculated plants.
盐胁迫是限制干旱和半干旱地区作物产量的主要非生物因素之一。植物促生真菌可以帮助植物在胁迫条件下茁壮成长。在这项研究中,我们从阿曼马斯喀特沿海地区分离和鉴定了 26 种嗜盐真菌(内生、根际和土壤),以研究其对植物生长的促进作用。大约有 16 种真菌可以产生 IAA,其中有 11 种分离株(MGRF1、MGRF2、GREF1、GREF2、TQRF4、TQRF5、TQRF5、TQRF6、TQRF7、TQRF8、TQRF2)可以显著提高小麦的种子萌发和幼苗生长。为了评估上述选定菌株对小麦耐盐性的影响,我们在 150 mM、300 mM NaCl 和 SW(100%海水)处理下种植小麦幼苗,并接种上述菌株。我们的研究结果表明,菌株 MGRF1、MGRF2、GREF2 和 TQRF9 缓解了 150 mM 盐胁迫,并与各自的对照植物相比,增加了茎长。然而,在 300 mM 胁迫的植物中,GREF1 和 TQRF9 被观察到增加了茎长。两株菌,GREF2 和 TQRF8,也促进了植物生长,降低了 SW 处理植物的盐胁迫。与茎长类似,根长也呈现出类似的模式,不同的盐胁迫源,如 150 mM、300 mM 和 SW,分别使根长减少了 4%、7.5%和 19.5%。三株菌,GREF1、TQRF7 和 MGRF1,具有更高的过氧化氢酶(CAT)水平,而多酚氧化酶(PPO)也观察到类似的结果,GREF1 接种显著提高了 150 mM 盐胁迫下的 PPO 水平。不同的真菌菌株有不同的效果,有些菌株,如 GREF1、GREF2 和 TQRF9,与各自的对照植物相比,蛋白质含量显著增加。在盐胁迫下, 基因和 基因的表达减少。然而, 基因在盐胁迫条件下高度上调,而在接种植物中则相反。