Suppr超能文献

不同种植系统(有机种植、综合种植与传统种植)对普通小麦(L.)产量和籽粒品质的影响

Yield and Grain Quality of Common Wheat ( L.) Depending on the Different Farming Systems (Organic vs. Integrated vs. Conventional).

作者信息

Mitura Katarzyna, Cacak-Pietrzak Grażyna, Feledyn-Szewczyk Beata, Szablewski Tomasz, Studnicki Marcin

机构信息

Department of Food Technology and Assessment, Institute of Food Sciences, Warsaw University of Life Sciences, Nowoursynowska, 159C Street, 02-776 Warsaw, Poland.

Department of Systems and Economics of Crop Production, Institute of Soil Science and Plant Cultivation-State Research Institute, Czartoryskich 8 Street, 24-100 Pulawy, Poland.

出版信息

Plants (Basel). 2023 Feb 23;12(5):1022. doi: 10.3390/plants12051022.

Abstract

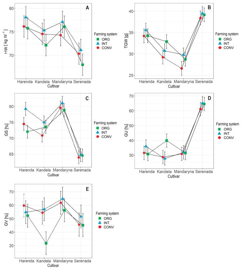
Genotype (cultivar), soil and climatic conditions, the agrotechnology used, and the interaction of the factors mentioned play a key role in the yield and quality of wheat grain. Currently, the European Union recommends the balanced use of mineral fertilisers and plant protection products in agricultural production (integrated production) or the use of only natural production methods (organic production). The aim of the study was to compare the yield and grain quality of four spring common wheat cultivars Harenda, Kandela, Mandaryna, and Serenada, grown under three farming systems: organic (ORG), integrated (INT), and conventional (CONV). A three-year field experiment was conducted between 2019 and 2021 at the Osiny Experimental Station (Poland, 51°27' N; 22°2' E). The results showed that significantly the highest wheat grain yield (GY) was obtained at INT, while the lowest was obtained at ORG. The physicochemical and rheological characteristics of the grain were significantly influenced by the cultivar factor and, with the exception of 1000 grain weight (TGW) and ash content (AC), by the farming system. There were also numerous interactions between the cultivar and farming systems, which suggests different performances of cultivars and, in fact, that some cultivars are better or worse suited to different production systems. The exceptions were protein content (PC) and falling number (FN), which were significantly highest in grain with CONV and lowest in grain with ORG farming systems.

摘要

基因型(品种)、土壤和气候条件、所采用的农业技术以及上述因素之间的相互作用对小麦籽粒的产量和品质起着关键作用。目前,欧盟建议在农业生产中平衡使用矿物肥料和植物保护产品(综合生产)或仅采用自然生产方法(有机生产)。本研究的目的是比较在有机(ORG)、综合(INT)和传统(CONV)三种种植体系下种植的四个春性普通小麦品种哈伦达、坎德拉、曼达丽娜和塞雷纳达的产量和籽粒品质。2019年至2021年期间,在奥西尼实验站(波兰,北纬51°27′;东经22°2′)进行了为期三年的田间试验。结果表明,INT种植体系下获得的小麦籽粒产量(GY)显著最高,而ORG种植体系下最低。籽粒的物理化学和流变学特性受品种因素的显著影响,除千粒重(TGW)和灰分含量(AC)外,还受种植体系的影响。品种与种植体系之间也存在许多相互作用,这表明不同品种的表现不同,实际上,一些品种更适合或不太适合不同的生产体系。蛋白质含量(PC)和降落数值(FN)除外,CONV种植体系下籽粒中的PC和FN显著最高,ORG种植体系下籽粒中的PC和FN最低。

https://cdn.ncbi.nlm.nih.gov/pmc/blobs/e23a/10005047/2e799b05c97c/plants-12-01022-g001.jpg

文献AI研究员

20分钟写一篇综述,助力文献阅读效率提升50倍。

立即体验

用中文搜PubMed

大模型驱动的PubMed中文搜索引擎

马上搜索

文档翻译

学术文献翻译模型,支持多种主流文档格式。

立即体验