Suppr超能文献

根据妊娠史评估女性的冠状动脉再狭窄和靶病变血运重建。

Coronary artery restenosis and target lesion revascularisation in women by pregnancy history.

机构信息

Perinatal and Cardiovascular Epidemiology, Lund University Diabetes Centre, Department of Clinical Sciences Malmö, Lund University, Malmö, Sweden

Cardiovascular Research- Translational Studies, Lund University, Malmö, Sweden.

出版信息

Open Heart. 2023 Mar;10(1). doi: 10.1136/openhrt-2022-002130.

Abstract

BACKGROUND

Women's pregnancy history is associated with incident risk of coronary artery disease with some evidence also suggesting a relevance for prognosis following treatment.

OBJECTIVES

To study the associations between maternal history of preterm delivery, a history of small for gestational age infant, parity and age at first delivery with clinical restenosis after percutaneous coronary intervention (PCI).

METHODS

In this prospective cohort study, we included 6027 women 65 years undergoing their first PCI 2006-2017, merging clinical register data on PCI procedures in Sweden with comprehensive registry data on deliveries since 1973. We used proportional hazards regression to study the association between aspects of pregnancy history and clinical restenosis in per-segment analyses, and with target lesion revascularisation (TLR) in per-patient analyses. We adjusted models for procedural-related and patient-related predictors of restenosis.

RESULTS

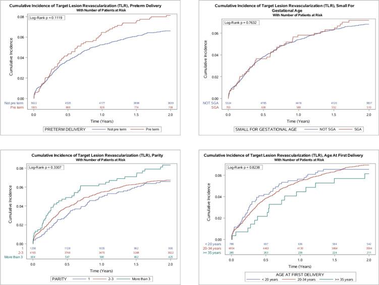
During 15 981 segment-years of follow-up, 343 (3.7%) events of clinical restenosis occurred. We found no strong evidence of associations between the studied aspects of pregnancy history and clinical restenosis following PCI. For example, the restenosis HR for a history of preterm delivery in the fully adjusted model was 1.09 (95% CI 0.77 to 1.55) and the TLR HR was 1.18 (95% CI 0.91 to 1.52).

CONCLUSION

Risk of restenosis following treatment with PCI did not differ by the studied aspects of pregnancy history, including preterm delivery, in young and middle-aged women. Larger studies are needed to obtain more precise estimates.

摘要

背景

女性的妊娠史与冠心病的发病风险相关,有证据表明其与治疗后的预后也有关。

目的

研究母亲早产史、胎儿生长受限史、产次和初产年龄与经皮冠状动脉介入治疗(PCI)后临床再狭窄的关系。

方法

在这项前瞻性队列研究中,我们纳入了 6027 名年龄在 65 岁以下的女性,她们在 2006 年至 2017 年间接受了首次 PCI,将瑞典 PCI 手术的临床登记数据与自 1973 年以来的全面分娩登记数据进行了合并。我们使用比例风险回归来研究妊娠史各方面与每节段分析的临床再狭窄之间的关系,并在每例患者分析中与靶病变血运重建(TLR)进行比较。我们对模型进行了调整,以纳入与再狭窄相关的手术和患者相关的预测因素。

结果

在 15981 个节段年的随访期间,有 343 例(3.7%)发生临床再狭窄事件。我们没有发现妊娠史各方面与 PCI 后临床再狭窄之间存在很强的关联。例如,在完全调整的模型中,早产史的再狭窄 HR 为 1.09(95%CI 0.77 至 1.55),TLR HR 为 1.18(95%CI 0.91 至 1.52)。

结论

在年轻和中年女性中,经 PCI 治疗后再狭窄的风险并未因所研究的妊娠史方面(包括早产)的不同而有所差异。需要更大的研究来获得更精确的估计。

https://cdn.ncbi.nlm.nih.gov/pmc/blobs/7272/10030621/8966347d7714/openhrt-2022-002130f01.jpg

文献AI研究员

20分钟写一篇综述,助力文献阅读效率提升50倍。

立即体验

用中文搜PubMed

大模型驱动的PubMed中文搜索引擎

马上搜索

文档翻译

学术文献翻译模型,支持多种主流文档格式。

立即体验