Suppr超能文献

评估日本虎杖管理方法的相对影响和经济成本。

Assessing the relative impacts and economic costs of Japanese knotweed management methods.

机构信息

Department of Biosciences, Swansea University, Singleton Park, Swansea, SA2 8PP, UK.

Agri-EPI Centre, Poultry Lane, Edgmond, Newport, TF10 8JZ, England, UK.

出版信息

Sci Rep. 2023 Mar 17;13(1):3872. doi: 10.1038/s41598-023-30366-9.

Abstract

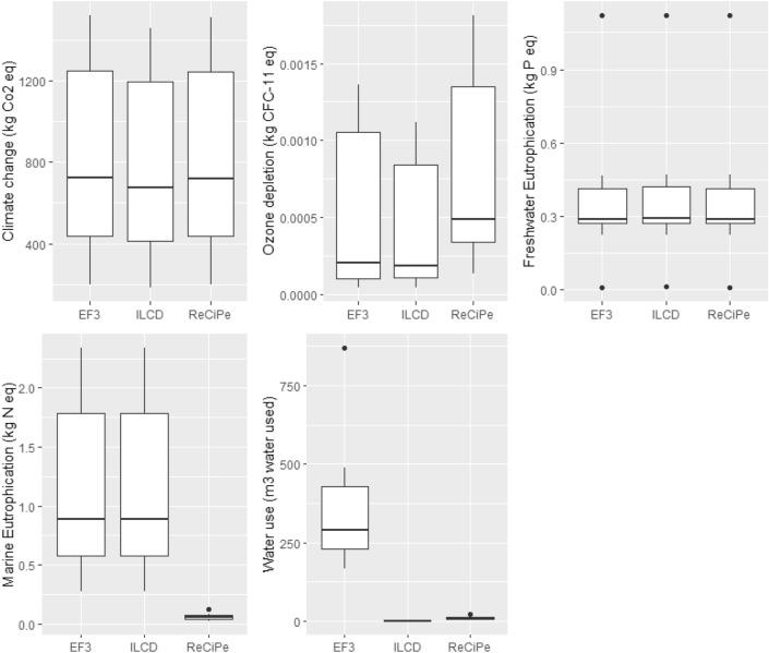
Sustainable land management encompasses a range of activity that balance land use requirements with wider conservation and ecosystem impact considerations. Perennial invasive alien plants (IAPs), such as Japanese knotweed, cause severe ecological and socio-economic impacts, and methods to control their spread also come at a cost. Synthetic herbicides are generally viewed as less sustainable and more ecologically damaging than alternative approaches. Here we used a comparative Life Cycle Assessment to evaluate the sustainability of herbicide-based management approaches and physical alternatives, using a large-scale Japanese knotweed field study as a model IAP system. Glyphosate-based methods elicited the lowest environmental impacts and economic costs during production. Geomembrane covering and integrated physiochemical methods were the costliest and imposed the greatest impacts. We discuss the costs and benefits of chemical and physical approaches for the sustainable management of invaded land and question how sustainable environmental stewardship is defined for the control of IAPs.

摘要

可持续土地管理涵盖了一系列活动,这些活动在满足土地利用需求的同时,还考虑到更广泛的保护和生态系统影响因素。多年生入侵外来植物(IAPs),如日本虎杖,会造成严重的生态和社会经济影响,而控制其传播的方法也需要付出代价。与替代方法相比,合成除草剂通常被认为不太可持续,对生态的破坏也更大。在这里,我们使用大规模的日本虎杖实地研究作为模式 IAP 系统,通过比较生命周期评估来评估基于除草剂的管理方法和物理替代方法的可持续性。基于草甘膦的方法在生产过程中产生的环境影响和经济成本最低。土工膜覆盖和综合物理化学方法成本最高,造成的影响最大。我们讨论了化学和物理方法在可持续管理入侵土地方面的成本和收益,并质疑如何为控制 IAP 定义可持续的环境管理。

https://cdn.ncbi.nlm.nih.gov/pmc/blobs/628f/10023688/cf480e26a048/41598_2023_30366_Fig1_HTML.jpg

文献AI研究员

20分钟写一篇综述,助力文献阅读效率提升50倍。

立即体验

用中文搜PubMed

大模型驱动的PubMed中文搜索引擎

马上搜索

文档翻译

学术文献翻译模型,支持多种主流文档格式。

立即体验