Suppr超能文献

细长垂直 Riga 薄板上二阶流体流动的广义傅里叶定律和菲克定律的传热传质

Heat and mass transfer of generalized fourier and Fick's law for second-grade fluid flow at slendering vertical Riga sheet.

作者信息

Shatanawi Wasfi, Abbas Nadeem, Shatnawi Taqi A M, Hasan Fady

机构信息

Department of Mathematics and Sciences, College of Humanities and Sciences, Prince Sultan University, Riyadh, 11586, Saudi Arabia.

Department of Medical Research, China Medical University, Taichung, 40402, Taiwan.

出版信息

Heliyon. 2023 Mar 11;9(3):e14250. doi: 10.1016/j.heliyon.2023.e14250. eCollection 2023 Mar.

Abstract

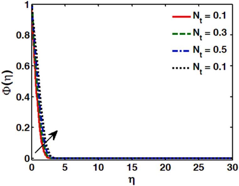
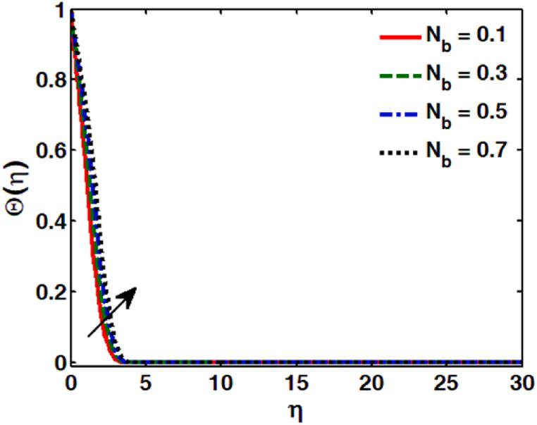
In this analysis, the generalized Fourier and Fick's law for Second-grade fluid flow at a slendering vertical Riga sheet is examined along with thermophoresis and Brownian motion effects. Boundary layer approximations in terms of PDE's (Partial Differential Equations) are used to build the mathematical model. An appropriate transformation has been developed by using the Lie symmetry method. PDE's (Partial Differential Equations) are transformed into ODE's (Ordinary Differential Equations) by implementing the suitable transformation. A numerical method called bvp4c is used to explain the dimensionless system (ODE's). Graphs and tables are used to interpret the impact of the significant physical parameters. The curves of temperature function declined due to enchanting the values of the thermophoresis Parameter. The temperature is produced at a low level due to enchanting the values of thermophoresis because this force transports burn at a low 10 μm diameter so the temperature becomes lessor. Increments of thermophoresis parameter which enhanced the values of concentration Function. As the concentration boundary layer increased which declined the mass transfer due increment in thermophoresis. The curves of temperature function are increasing due to enhancing the values of the Brownian parameter because addition in the Brownian motion, improved the movement of particles ultimately increasing the kinematic energy of fluid which improved the heat transfer phenomena. Increments of Brownian parameter which declined the values of concentration function. Physically, the kinematic energy improved which declined the mass transfer rate near the surface.

摘要

在该分析中,研究了在细长垂直 Riga 薄板处二级流体流动的广义傅里叶定律和菲克定律,以及热泳和布朗运动效应。利用偏微分方程(PDE)的边界层近似来建立数学模型。通过李对称方法开发了一种适当的变换。通过实施合适的变换,将偏微分方程(PDE)转化为常微分方程(ODE)。使用一种名为 bvp4c 的数值方法来解释无量纲系统(常微分方程)。利用图表来解释重要物理参数的影响。由于增大了热泳参数的值,温度函数曲线下降。由于增大了热泳的值,温度处于较低水平,因为这种力在 10 微米的小直径下传输热量,所以温度降低。热泳参数的增加提高了浓度函数的值。随着浓度边界层的增加,热泳增加导致传质下降。由于增大了布朗参数的值,温度函数曲线上升,因为布朗运动的增加改善了颗粒的运动,最终提高了流体的动能,从而改善了传热现象。布朗参数的增加降低了浓度函数的值。从物理角度来看,动能的提高降低了表面附近的传质速率。

https://cdn.ncbi.nlm.nih.gov/pmc/blobs/0269/10024086/8396044f05ba/gr1.jpg

文献AI研究员

20分钟写一篇综述,助力文献阅读效率提升50倍。

立即体验

用中文搜PubMed

大模型驱动的PubMed中文搜索引擎

马上搜索

文档翻译

学术文献翻译模型,支持多种主流文档格式。

立即体验