Suppr超能文献

非酒精啤酒中有害生物胺的测定:高效且适用的微型电膜萃取与气相色谱-质谱联用

The Measurement of Hazardous Biogenic Amines in Non-Alcoholic Beers: Efficient and Applicable Miniaturized Electro-Membrane Extraction Joined to Gas Chromatography-Mass Spectrometry.

作者信息

Kamankesh Marzieh, Barzegar Fatemeh, Shariatifar Nabi, Mohammadi Abdorreza

机构信息

Food Safety Research Center (Salt), Semnan University of Medical Sciences, Semnan 35147-99442, Iran.

School of Pharmacy, Semnan University of Medical Sciences, Semnan 35147-99442, Iran.

出版信息

Foods. 2023 Mar 8;12(6):1141. doi: 10.3390/foods12061141.

Abstract

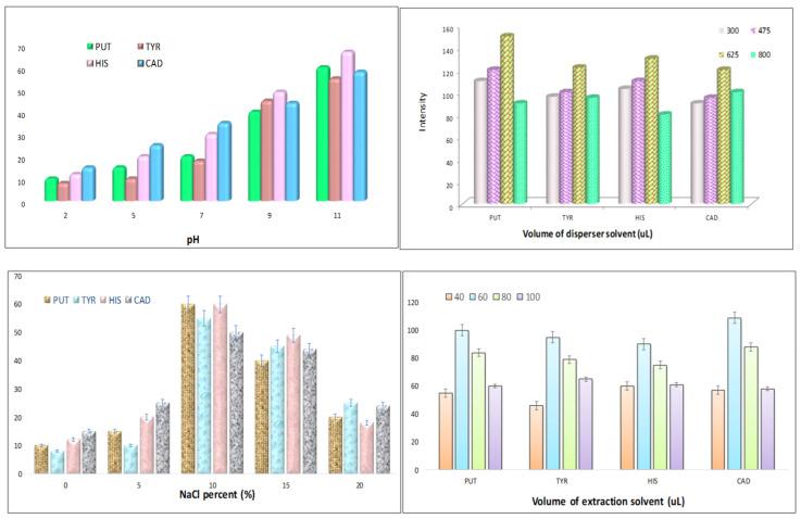
The determination of biogenic amines (BAs) as serious food contaminants and chemical indicators of unwanted microbial contamination or deficient processing conditions in non-alcoholic beers is of great interest for the beverage industries. In the present investigation, the combination of hollow fiber-electro-membrane extraction (HF-EME) and dispersive liquid-liquid microextraction (DLLME) followed by gas chromatography-mass spectrometry (GC/MS) was applied for the analysis of histamine, putrescine, tyramine, cadaverine in non-alcoholic beers. EME is fundamentally based on the electrostatic attraction, diffusion and solvability of analytes in a selected acceptor phase. This membrane-based extraction technique promoted selectivity and the enrichment factor. The DLLME process reduced the volumes of organic solvents and make the coupling of HF-EME to the CG/MS conceivable. The leading variables, which have a great effect on extraction recovery, were optimized. The relative standard deviation was achieved between 4.9 and 7.0%. The recoveries were between 94% and 98%. The limit of detection and limit of quantification were found to be 0.92-0.98 ng mL and 3.03-3.23 ng mL, respectively. The enrichment factor was calculated in the range 36-41. The achievements revealed that putrescine and tyramine, with concentrations of 3.87 and 2.33 µg g, were at the highest concentration in non-alcoholic beers. This offered method with great benefits could help beverage industries to monitor the concentration of BAs in beers and control them.

摘要

将生物胺(BAs)作为严重的食品污染物以及非酒精啤酒中有害微生物污染或加工条件不足的化学指标进行测定,对饮料行业具有重大意义。在本研究中,采用中空纤维-电膜萃取(HF-EME)与分散液液微萃取(DLLME)相结合,随后进行气相色谱-质谱联用(GC/MS)的方法,用于分析非酒精啤酒中的组胺、腐胺、酪胺和尸胺。电膜萃取基本基于分析物在选定接受相中的静电吸引、扩散和溶解性。这种基于膜的萃取技术提高了选择性和富集因子。分散液液微萃取过程减少了有机溶剂的用量,使得HF-EME与CG/MS的联用成为可能。对影响萃取回收率的主要变量进行了优化。相对标准偏差在4.9%至7.0%之间。回收率在94%至98%之间。检测限和定量限分别为0.92 - 0.98 ng/mL和3.03 - 3.23 ng/mL。富集因子计算范围为36 - 41。研究结果表明,非酒精啤酒中腐胺和酪胺的浓度最高,分别为3.87和2.33 μg/g。这种具有诸多优点的方法可帮助饮料行业监测啤酒中生物胺的浓度并加以控制。

https://cdn.ncbi.nlm.nih.gov/pmc/blobs/9268/10048709/b7ed118c1001/foods-12-01141-g001.jpg

文献AI研究员

20分钟写一篇综述,助力文献阅读效率提升50倍。

立即体验

用中文搜PubMed

大模型驱动的PubMed中文搜索引擎

马上搜索

文档翻译

学术文献翻译模型,支持多种主流文档格式。

立即体验