Suppr超能文献

肥胖表型与中老年中国人高血压风险及其转变的关联。

The associations of obesity phenotypes with the risk of hypertension and its transitions among middle-aged and older Chinese adults.

机构信息

School of Public Health, Women's Hospital, Zhejiang University School of Medicine, Hangzhou, China.

School of Public Health, Department of Maternal and Child Health, Health Science Centre, Peking University, Beijing, China.

出版信息

Epidemiol Health. 2023;45:e2023043. doi: 10.4178/epih.e2023043. Epub 2023 Apr 10.

Abstract

OBJECTIVES

This study aimed to investigate the associations of obesity phenotypes with hypertension stages, phenotypes, and transitions among middle-aged and older Chinese.

METHODS

Using the 2011-2015 waves of the China Health and Retirement Longitudinal Study, we conducted a cross-sectional analysis included 9,015 subjects and a longitudinal analysis included 4,961 subjects, with 4,872 having full data on the hypertension stage and 4,784 having full data on the hypertension phenotype. Based on body mass index and waist circumstance, subjects were categorized into 4 mutually exclusive obesity phenotypes: normal weight with no central obesity (NWNCO), abnormal weight with no central obesity (AWNCO), normal weight with central obesity (NWCO), and abnormal weight with central obesity (AWCO). Hypertension stages were classified into normotension, pre-hypertension, stage 1 hypertension, and stage 2 hypertension. Hypertension phenotypes were categorized as normotension, pre-hypertension, isolated systolic hypertension (ISH), isolated diastolic hypertension (IDH), and systolic-diastolic hypertension (SDH). The association between obesity phenotypes and hypertension was estimated by logistic regression. A comparison between different sexes was conducted by testing the interaction effect of sex.

RESULTS

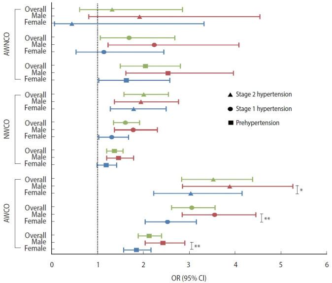
NWCO was associated with normal→stage 2 (odds ratio [OR], 1.95; 95% confidence interval [CI], 1.11 to 3.42), maintained stage 1 (OR, 1.62; 95% CI, 1.14 to 2.29), and normal→ISH (OR, 1.39; 95% CI, 1.05 to 1.85). AWCO was associated with normal→stage 1 (OR, 1.75; 95% CI, 1.40 to 2.19), maintained stage 1 (OR, 2.77; 95% CI, 2.06 to 3.72), maintained stage 2 (OR, 2.80; 95% CI, 1.50 to 5.25), normal→ISH (OR, 1.56; 95% CI, 1.20 to 2.02), and normal→SDH (OR, 2.54; 95% CI, 1.72 to 3.75). An interaction effect of sex existed in the association between obesity phenotypes and hypertension stages.

CONCLUSIONS

This study highlights the importance of various obesity phenotypes and sex differences in hypertension progression. Tailored interventions for different obesity phenotypes may be warranted in hypertension management, taking into account sex-specific differences to improve outcomes.

摘要

目的

本研究旨在探讨肥胖表型与中国中老年人群高血压各阶段、各表型以及各阶段间转变的关联。

方法

本研究使用 2011-2015 年中国健康与养老追踪调查数据,进行了一项横断面分析,纳入 9015 例受试者,一项纵向分析纳入 4961 例受试者,其中 4872 例受试者有完整的高血压阶段数据,4784 例受试者有完整的高血压表型数据。根据体重指数和腰围情况,将受试者分为 4 种互斥的肥胖表型:无中心性肥胖的正常体重(NWNCO)、无中心性肥胖的超重(AWNCO)、有中心性肥胖的正常体重(NWCO)和有中心性肥胖的超重(AWCO)。高血压阶段分为正常血压、前期高血压、1 期高血压和 2 期高血压。高血压表型分为正常血压、前期高血压、单纯收缩期高血压(ISH)、单纯舒张期高血压(IDH)和收缩期-舒张期高血压(SDH)。使用逻辑回归估计肥胖表型与高血压之间的关联,并通过检验性别交互效应比较不同性别间的差异。

结果

NWCO 与正常→2 期(比值比 [OR],1.95;95%置信区间 [CI],1.11 至 3.42)、维持 1 期(OR,1.62;95%CI,1.14 至 2.29)和正常→ISH(OR,1.39;95%CI,1.05 至 1.85)相关。AWCO 与正常→1 期(OR,1.75;95%CI,1.40 至 2.19)、维持 1 期(OR,2.77;95%CI,2.06 至 3.72)、维持 2 期(OR,2.80;95%CI,1.50 至 5.25)、正常→ISH(OR,1.56;95%CI,1.20 至 2.02)和正常→SDH(OR,2.54;95%CI,1.72 至 3.75)相关。肥胖表型与高血压阶段之间的关联存在性别交互效应。

结论

本研究强调了不同肥胖表型和性别差异在高血压进展中的重要性。在高血压管理中,可能需要针对不同的肥胖表型采取有针对性的干预措施,并考虑到性别差异,以改善结局。

https://cdn.ncbi.nlm.nih.gov/pmc/blobs/4c61/10593582/8e2dfd5b517a/epih-45-e2023043f1.jpg

文献AI研究员

20分钟写一篇综述,助力文献阅读效率提升50倍。

立即体验

用中文搜PubMed

大模型驱动的PubMed中文搜索引擎

马上搜索

文档翻译

学术文献翻译模型,支持多种主流文档格式。

立即体验