Suppr超能文献

住院期间平均血压与急性缺血性脑卒中后临床转归的关系。

Relationship between mean blood pressure during hospitalization and clinical outcome after acute ischemic stroke.

机构信息

Department of Neurology, Affiliated Hospital of Nanjing University of Chinese Medicine, Jiangsu Province Hospital of Chinese Medicine, 155 Hanzhong Road, Nanjing, 210029, China.

出版信息

BMC Neurol. 2023 Apr 20;23(1):156. doi: 10.1186/s12883-023-03209-3.

Abstract

OBJECTIVE

The optimal blood pressure (BP) targets for acute ischemic stroke are unclear. We aimed to assess the relationship between Mean BP and clinical outcomes during hospitalization.

MATERIALS AND METHODS

We included 649 patients with Acute ischemic stroke (AIS) from December 2020 to July 2021. BP was measured daily, and mean blood pressure was calculated. Clinical events recorded within 90 days of randomization were: recurrent ischemic stroke, symptomatic intracranial hemorrhage, and death. The modified Rankin Scale (mRS) was used to measure primary outcomes 3 months after AIS. Logistic multiple regression analysis was performed by statistical software R.

RESULT

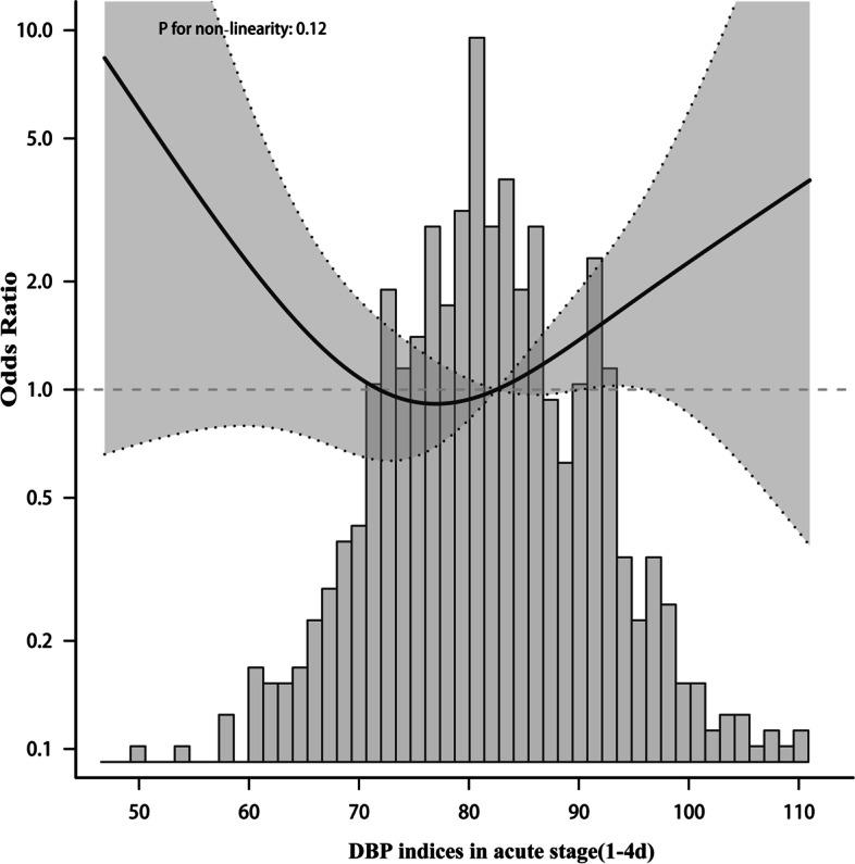
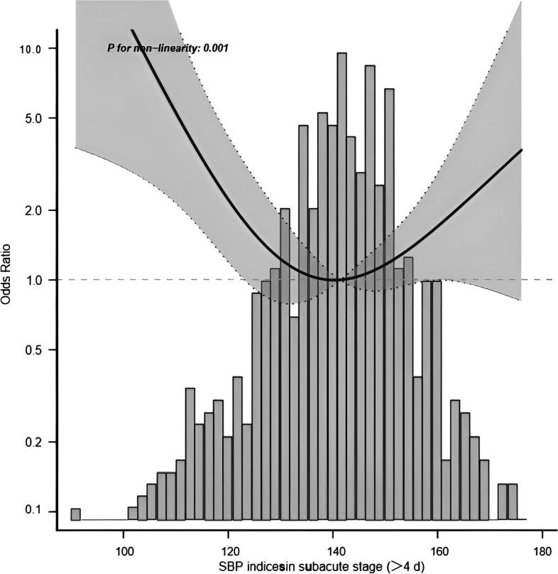
There is a nonlinear U-shaped relationship between SBP and poor outcomes. This means higher SBP and lower SBP will increase the incidence of poor outcomes. The optimal mean SBP during hospitalization was 135-150 mmHg, and patients with SBP < 135mmhg OR 2.4 [95% Cl, (1.16 ~ 4.97)], P = 0.018; and > 150mmhg OR 2.04 [95% Cl, 1.02 ~ 4.08], p = 0.045 had a higher probability of poor outcomes.

CONCLUSION

Our study shows that the optimal SBP of patients with AIS during hospitalization was 135-150 mmHg. The findings suggest that the relationship between mean SBP and 3-month functional outcome after AIS was U-shaped. Both higher SBP and lower SBP lead to poor prognosis in AIS patients.

摘要

目的

急性缺血性脑卒中的最佳血压(BP)目标尚不清楚。我们旨在评估住院期间平均 BP 与临床结局之间的关系。

材料和方法

我们纳入了 2020 年 12 月至 2021 年 7 月期间的 649 名急性缺血性脑卒中(AIS)患者。每日测量血压,计算平均血压。记录随机分组后 90 天内的临床事件:复发性缺血性脑卒中、症状性颅内出血和死亡。改良 Rankin 量表(mRS)用于测量 AIS 后 3 个月的主要结局。采用 R 统计软件进行逻辑多回归分析。

结果

SBP 与不良结局之间存在非线性 U 型关系。这意味着较高的 SBP 和较低的 SBP 都会增加不良结局的发生率。住院期间最佳平均 SBP 为 135-150mmHg,SBP<135mmHg 或 2.4[95%Cl,(1.16-4.97)],P=0.018;SBP>150mmHg 或 2.04[95%Cl,1.02-4.08],P=0.045 的患者发生不良结局的可能性更高。

结论

我们的研究表明,AIS 患者住院期间的最佳 SBP 为 135-150mmHg。研究结果表明,AIS 后 3 个月平均 SBP 与功能结局之间的关系呈 U 型。较高的 SBP 和较低的 SBP 均导致 AIS 患者预后不良。

https://cdn.ncbi.nlm.nih.gov/pmc/blobs/3bd8/10116692/d748b4574989/12883_2023_3209_Fig1_HTML.jpg

文献AI研究员

20分钟写一篇综述,助力文献阅读效率提升50倍。

立即体验

用中文搜PubMed

大模型驱动的PubMed中文搜索引擎

马上搜索

文档翻译

学术文献翻译模型,支持多种主流文档格式。

立即体验