Department of Biomolecular Sciences, Università di Urbino Carlo Bo, I-61029 Urbino, Italy.
Department of Experimental and Clinical Medicine, Faculty of Medicine and Surgery, Università Politecnica delle Marche, I-60121 Ancona, Italy.
Int J Mol Sci. 2023 Apr 18;24(8):7467. doi: 10.3390/ijms24087467.
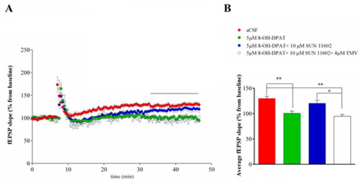
The midbrain raphe serotonin (5HT) neurons provide the main ascending serotonergic projection to the forebrain, including hippocampus, which has a role in the pathophysiology of depressive disorder. Serotonin 5HT1A receptor (R) activation at the soma-dendritic level of serotonergic raphe neurons and glutamatergic hippocampal pyramidal neurons leads to a decrease in neuronal firing by activation of G protein-coupled inwardly-rectifying potassium (GIRK) channels. In this raphe-hippocampal serotonin neuron system, the existence of 5HT1AR-FGFR1 heteroreceptor complexes has been proven, but the functional receptor-receptor interactions in the heterocomplexes have only been investigated in CA1 pyramidal neurons of control (SD) rats. In the current study, considering the impact of the receptor interplay in developing new antidepressant drugs, the effects of 5HT1AR-FGFR1 complex activation were investigated in hippocampal pyramidal neurons and in midbrain dorsal raphe serotonergic neurons of SD rats and of a genetic rat model of depression (the (FSL) rats of SD origin) using an electrophysiological approach. The results showed that in the raphe-hippocampal 5HT system of SD rats, 5HT1AR-FGFR1 heteroreceptor activation by specific agonists reduced the ability of the 5HT1AR protomer to open the GIRK channels through the allosteric inhibitory interplay produced by the activation of the FGFR1 protomer, leading to increased neuronal firing. On the contrary, in FSL rats, FGFR1 agonist-induced inhibitory allosteric action at the 5HT1AR protomer was not able to induce this effect on GIRK channels, except in CA2 neurons where we demonstrated that the functional receptor-receptor interaction is needed for producing the effect on GIRK. In keeping with this evidence, hippocampal plasticity, evaluated as long-term potentiation induction ability in the CA1 field, was impaired by 5HT1AR activation both in SD and in FSL rats, which did not develop after combined 5HT1AR-FGFR1 heterocomplex activation in SD rats. It is therefore proposed that in the genetic FSL model of depression, there is a significant reduction in the allosteric inhibition exerted by the FGFR1 protomer on the 5HT1A protomer-mediated opening of the GIRK channels in the 5HT1AR-FGFR1 heterocomplex located in the raphe-hippocampal serotonin system. This may result in an enhanced inhibition of the dorsal raphe 5HT nerve cell and glutamatergic hippocampal CA1 pyramidal nerve cell firing, which we propose may have a role in depression.
中脑缝际核 5-羟色胺(5HT)神经元提供了主要的上行 5-羟色胺能投射到前脑,包括海马体,其在抑郁障碍的病理生理学中起作用。5-羟色胺 1A 受体(R)在缝际核神经元的体树突水平的激活导致通过激活 G 蛋白偶联内向整流钾(GIRK)通道导致神经元放电减少。在该缝际-海马体 5-羟色胺神经元系统中,已经证明存在 5HT1AR-FGFR1 异源受体复合物,但在异源复合物中的功能性受体-受体相互作用仅在对照(SD)大鼠的 CA1 锥体神经元中进行了研究。在目前的研究中,考虑到受体相互作用在开发新型抗抑郁药物中的影响,使用电生理方法研究了 SD 大鼠和遗传抑郁大鼠模型(源于 SD 的 FSL 大鼠)的海马锥体神经元和中脑背缝际 5-羟色胺能神经元中 5HT1AR-FGFR1 复合物的激活作用。结果表明,在 SD 大鼠的缝际-海马体 5HT 系统中,5HT1AR-FGFR1 异源受体通过特定激动剂的激活通过 FGFR1 原代激活产生的变构抑制相互作用降低了 5HT1AR 原代打开 GIRK 通道的能力,导致神经元放电增加。相反,在 FSL 大鼠中,FGFR1 激动剂诱导的 5HT1AR 原代变构抑制作用不能诱导 GIRK 通道上的这种作用,除了在 CA2 神经元中,我们证明了功能性受体-受体相互作用对于产生 GIRK 作用是必需的。与这些证据一致,在 SD 和 FSL 大鼠中,5HT1AR 的激活均损害了 CA1 场中长时程增强诱导能力的海马体可塑性,而在 SD 大鼠中,5HT1AR-FGFR1 异源复合物的联合激活后并未发展。因此,建议在遗传 FSL 抑郁模型中,FGFR1 原代对位于缝际-海马体 5-羟色胺能系统中的 5HT1AR-FGFR1 异源复合物中 5HT1A 原代介导的 GIRK 通道开放的变构抑制作用显著降低。这可能导致背缝际 5-羟色胺神经元和谷氨酸能海马 CA1 锥体神经元放电的抑制增强,我们建议这可能在抑郁中起作用。