Suppr超能文献

单侧听力损失儿童的听力损失轨迹。

Trajectory of hearing loss in children with unilateral hearing loss.

作者信息

Fitzpatrick Elizabeth M, Nassrallah Flora, Gaboury Isabelle, Whittingham JoAnne, Vos Bénédicte, Coyle Doug, Durieux-Smith Andrée, Pigeon Marie, Olds Janet

机构信息

Faculty of Health Sciences, University of Ottawa, Ottawa, ON, Canada.

Child Hearing Laboratory, CHEO Research Institute, Ottawa, ON, Canada.

出版信息

Front Pediatr. 2023 Apr 11;11:1149477. doi: 10.3389/fped.2023.1149477. eCollection 2023.

Abstract

INTRODUCTION

The aim of this study was to quantify the amount of deterioration in hearing and to document the trajectory of hearing loss in early identified children with unilateral hearing loss (UHL). We also examined whether clinical characteristics were associated with the likelihood of having progressive hearing loss.

METHODS

As part of the Mild and Unilateral Hearing Loss Study, we followed a population-based cohort of 177 children diagnosed with UHL from 2003 to 2018. We applied linear mixed models to examine hearing trends over time including the average amount of change in hearing. Logistic regression models were used to examine the relationship between age and severity at diagnosis, etiology, and the likelihood of progressive loss and amount of deterioration in hearing.

RESULTS

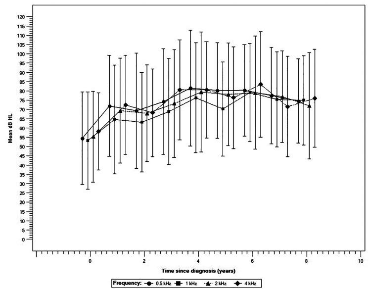
The median age of the children at diagnosis was 4.1 months (IQR 2.1, 53.9) and follow-up time was 58.9 months (35.6, 92.0). Average hearing loss in the impaired ear was 58.8 dB HL (SD 28.5). Over the 16-year period, 47.5% (84/177) of children showed deterioration in hearing in one or both ears from their initial diagnostic assessment to most recent assessment including 21 (11.9%) who developed bilateral hearing loss. Average deterioration in the impaired ear ranged from 27 to 31 dB with little variation across frequencies. Deterioration resulted in a change in category of severity for 67.5% (52/77) of the children. Analysis for children who were followed for at least 8 years showed that most lost a significant amount of hearing rapidly in the first 4 years, with the decrease stabilizing and showing a plateau in the last 4 years. Age and severity at diagnosis were not significantly associated with progressive/stable loss after adjusting for time since diagnosis. Etiologic factors (ENT external/middle ear anomalies, inner ear anomalies, syndromic hearing loss, hereditary/genetic) were found to be positively associated with stable hearing loss.

CONCLUSION

Almost half of children with UHL are at risk for deterioration in hearing in one or both ears. Most deterioration occurs within the first 4 years following diagnosis. Most children did not experience sudden "large" drops in hearing but more gradual decrease over time. These results suggest that careful monitoring of UHL especially in the early years is important to ensure optimal benefit from early hearing loss detection.

摘要

引言

本研究的目的是量化听力减退的程度,并记录早期确诊的单侧听力损失(UHL)儿童的听力损失轨迹。我们还研究了临床特征是否与进行性听力损失的可能性相关。

方法

作为轻度和单侧听力损失研究的一部分,我们追踪了2003年至2018年期间以人群为基础的177名被诊断为UHL的儿童队列。我们应用线性混合模型来研究随时间的听力趋势,包括听力变化的平均量。逻辑回归模型用于研究诊断时的年龄和严重程度、病因与进行性听力损失的可能性以及听力减退程度之间的关系。

结果

儿童诊断时的中位年龄为4.1个月(四分位间距2.1,53.9),随访时间为58.9个月(35.6,92.0)。患侧耳朵的平均听力损失为58.8 dB HL(标准差28.5)。在16年期间,47.5%(84/177)的儿童从最初的诊断评估到最近的评估,一只或两只耳朵的听力出现减退,其中21名(11.9%)发展为双侧听力损失。患侧耳朵的平均减退范围为27至31 dB,各频率间变化不大。67.5%(52/77)的儿童听力减退导致了严重程度分类的变化。对随访至少8年的儿童进行分析显示,大多数儿童在最初4年迅速丧失大量听力,在最后4年听力下降趋于稳定并呈现平稳状态。在调整自诊断后的时间后,诊断时的年龄和严重程度与进行性/稳定听力损失无显著关联。发现病因因素(耳鼻喉科外部/中耳异常、内耳异常、综合征性听力损失、遗传性/基因性)与稳定的听力损失呈正相关。

结论

几乎一半的UHL儿童存在一只或两只耳朵听力减退的风险。大多数减退发生在诊断后的前4年内。大多数儿童听力没有突然“大幅”下降,而是随时间逐渐降低。这些结果表明,对UHL进行仔细监测,尤其是在早期,对于确保从早期听力损失检测中获得最佳益处非常重要。

https://cdn.ncbi.nlm.nih.gov/pmc/blobs/851a/10126436/2e910b6184e5/fped-11-1149477-g001.jpg

文献AI研究员

20分钟写一篇综述,助力文献阅读效率提升50倍。

立即体验

用中文搜PubMed

大模型驱动的PubMed中文搜索引擎

马上搜索

文档翻译

学术文献翻译模型,支持多种主流文档格式。

立即体验