Suppr超能文献

严重急性呼吸综合征冠状病毒2:空气污染与死亡率上升高度相关。墨西哥哈利斯科州瓜达拉哈拉市的案例

SARS-CoV-2: Air pollution highly correlated to the increase in mortality. The case of Guadalajara, Jalisco, México.

作者信息

Torres-Anguiano Elizabeth, Sánchez-López Itzel, Garduno-Robles Angeles, Rivas-Carrillo Jorge David, Rivera-León Edgar Alfonso, Sánchez-Enríquez Sergio, Ornelas-Hernández Luis Fernando, Zazueta León-Quintero Fernando, Salazar León-Quintero Eduardo Narciso, Juárez-López Guillermo Enrique, Sánchez-Zubieta Fernando Antonio, Ochoa-Bru Mariana, Zepeda-Moreno Abraham

机构信息

Onkogenetik/Mexicana de Investigación y Biotectogía S.A. de C.V, Guadalajara, Jalisco, Mexico.

Unidad de Biología Molecular, Investigación y Diagnóstico, Hospital San Javier, Guadalajara, Jalisco, Mexico.

出版信息

Infect Dis Model. 2023 Jun;8(2):445-457. doi: 10.1016/j.idm.2023.04.004. Epub 2023 Apr 20.

Abstract

OBJECTIVES

To determine whether air pollution or changes in SARS-CoV-2 lineages lead to an increase in mortality.

METHODS

Descriptive statistics were used to calculate rates of infection (2020-2021). RT-PCR was used to compare viral loads from October 2020 to February 2021. Next-generation sequencing (NGS) (n = 92) was used to examine and phylogenetically map SARS-CoV-2 lineages. A correlative "air pollution/temperature" index (I) was developed using regression analysis. PM, PM, O, NO, SO, and CO concentrations were analyzed and compared to the mortality.

RESULTS

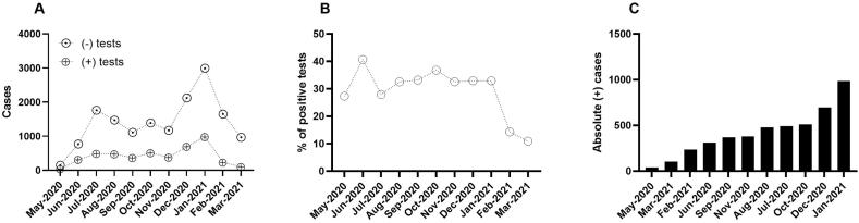
The mortality rate during the last year was ∼32%. Relative SARS-CoV-2 viral loads increased in December 2020 and January 2021. NGS revealed that approximately 80% of SARS-CoV-2 linages were B.1.243 (33.7%), B1.1.222 (11.2%), B.1.1 (9%), B.1 (7%), B.1.1.159 (7%), and B.1.2 (7%). Two periods were analyzed, the prehigh- and high-mortality periods and no significant lineage differences or new lineages were found. Positive correlations of air pollution/temperature index values with mortality were found for IPM and IPM. INO. ISO, and ICO but not for O. Using ICO, we developed a model to predict mortality with an estimated variation of ∼±5 deaths per day.

CONCLUSION

The mortality rate in the MZG was highly correlated with air pollution indices and not with SARS-CoV-2 lineage.

摘要

目的

确定空气污染或新冠病毒谱系变化是否会导致死亡率上升。

方法

采用描述性统计方法计算感染率(2020 - 2021年)。使用逆转录聚合酶链反应(RT-PCR)比较2020年10月至2021年2月的病毒载量。使用下一代测序(NGS)(n = 92)检测新冠病毒谱系并进行系统发育图谱绘制。利用回归分析建立了一个相关的“空气污染/温度”指数(I)。分析了细颗粒物(PM)、可吸入颗粒物(PM)、臭氧(O)、一氧化氮(NO)、二氧化硫(SO)和一氧化碳(CO)的浓度,并与死亡率进行比较。

结果

去年的死亡率约为32%。2020年12月和2021年1月新冠病毒相对病毒载量增加。NGS显示,约80%的新冠病毒谱系为B.1.243(33.7%)、B1.1.222(11.2%)、B.1.1(9%)、B.1(7%)、B.1.1.159(7%)和B.1.2(7%)。分析了两个时期,即高死亡率前期和高死亡率期,未发现明显的谱系差异或新谱系。发现细颗粒物污染/温度指数值与死亡率之间存在正相关,涉及细颗粒物(IPM)和可吸入颗粒物(IPM)、一氧化氮(INO)、二氧化硫(ISO)和一氧化碳(ICO),但臭氧(O)不存在这种相关性。利用一氧化碳(ICO),我们建立了一个预测死亡率的模型,估计每天的变化约为±5例死亡。

结论

MZG地区的死亡率与空气污染指数高度相关,与新冠病毒谱系无关。

https://cdn.ncbi.nlm.nih.gov/pmc/blobs/3c52/10176166/5ac9e57804b6/gr1.jpg

文献AI研究员

20分钟写一篇综述,助力文献阅读效率提升50倍。

立即体验

用中文搜PubMed

大模型驱动的PubMed中文搜索引擎

马上搜索

文档翻译

学术文献翻译模型,支持多种主流文档格式。

立即体验