Steffens Daniel, Pocovi Natasha C, Bartyn Jenna, Delbaere Kim, Hancock Mark J, Koh Cherry, Denehy Linda, van Schooten Kimberley S, Solomon Michael
Surgical Outcomes Research Centre (SOuRCe), Royal Prince Alfred Hospital (RPAH), Sydney, NSW 2006, Australia.
Faculty of Medicine and Health, Central Clinical School, The University of Sydney, Sydney, NSW 2042, Australia.
Cancers (Basel). 2023 Apr 24;15(9):2434. doi: 10.3390/cancers15092434.
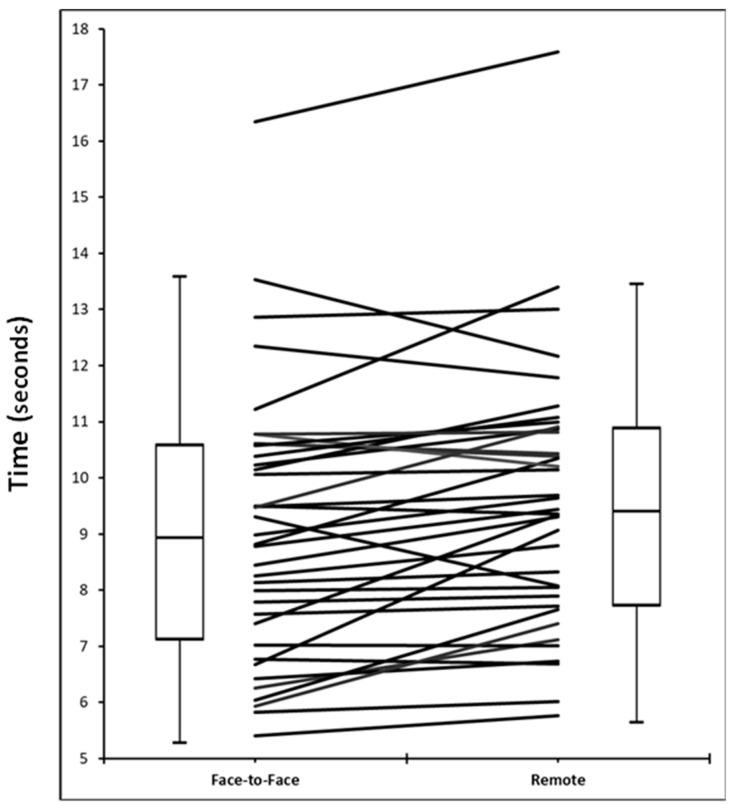
To determine the feasibility, reliability, and safety of the remote five times sit to stand test (5STS) test in patients with gastrointestinal cancer. Consecutive adult patients undergoing surgical treatment for lower gastrointestinal cancer at a major referral hospital in Sydney between July and November 2022 were included. Participants completed the 5STS test both face-to-face and remotely, with the order randomised. Outcomes included measures of feasibility, reliability, and safety. Of fifty-five patients identified, seventeen (30.9%) were not interested, one (1.8%) had no internet coverage, and thirty-seven (67.3%) consented and completed both 5STS tests. The mean (SD) time taken to complete the face-to-face and remote 5STS tests was 9.1 (2.4) and 9.5 (2.3) seconds, respectively. Remote collection by telehealth was feasible, with only two participants (5.4%) having connectivity issues at the start of the remote assessment, but not interfering with the tests. The remote 5STS test showed excellent reliability (ICC = 0.957), with limits of agreement within acceptable ranges and no significant systematic errors observed. No adverse events were observed within either test environment. Remote 5STS for the assessment of functional lower extremity strength in gastrointestinal cancer patients is feasible, reliable, and safe, and can be used in clinical and research settings.
确定远程五次坐立试验(5STS)在胃肠道癌患者中的可行性、可靠性和安全性。纳入2022年7月至11月期间在悉尼一家主要转诊医院接受下消化道癌手术治疗的连续成年患者。参与者面对面和远程完成5STS测试,顺序随机。结果包括可行性、可靠性和安全性指标。在确定的55名患者中,17名(30.9%)不感兴趣,1名(1.8%)没有网络覆盖,37名(67.3%)同意并完成了两次5STS测试。完成面对面和远程5STS测试的平均(标准差)时间分别为9.1(2.4)秒和9.5(2.3)秒。通过远程医疗进行远程采集是可行的,只有两名参与者(5.4%)在远程评估开始时存在连接问题,但未干扰测试。远程5STS测试显示出极好的可靠性(ICC = 0.957),一致性界限在可接受范围内,未观察到明显的系统误差。在任何一个测试环境中均未观察到不良事件。用于评估胃肠道癌患者下肢功能力量的远程5STS是可行、可靠和安全的,可用于临床和研究环境。