Suppr超能文献

中国上海 2022 年 COVID-19 疫情期间防控措施的效果。

The effectiveness of control measures during the 2022 COVID-19 outbreak in Shanghai, China.

机构信息

College of Science, Donghua University, Shanghai, 201620, China.

Department of Mathematics and Statistics, University of Victoria, Victoria, BC, Canada.

出版信息

PLoS One. 2023 May 18;18(5):e0285937. doi: 10.1371/journal.pone.0285937. eCollection 2023.

Abstract

BACKGROUND

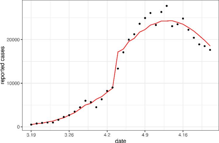
In March 2022, the Omicron variant of SARS-CoV-2 spread rapidly in Shanghai, China. The city adopted strict non-pharmacological intervention (NPI) measures, including lockdown (implemented on March 28 in Pudong and April 1 in Puxi) and blanket PCR testing (April 4). This study aims to understand the effect of these measures.

METHODS

We tabulated daily case counts from official reports and fitted a two-patch stochastic SEIR model to the data for the period of March 19 to April 21. This model considered two regions in Shanghai, namely Pudong and Puxi, as the implementation of control measures in Shanghai was carried out on different dates in these regions. We verified our fitting results using the data from April 22 to June 26. Finally, we applied the point estimate of parameter values to simulate our model while varying the dates of control measure implementation, and studied the effectiveness of the control measures.

RESULTS

Our point estimate for the parameter values yields expected case counts that agree well the data for both the periods from March 19 to April 21 and from April 22 to June 26. Lockdown did not significantly reduce the intra-region transmission rates. Only about 21% cases were reported. The underlying basic reproduction number R0 was 1.7, and the control reproduction number with both lockdown and blanket PCR testing was 1.3. If both measures were implemented on March 19, only about 5.9% infections would be prevented.

CONCLUSIONS

Through our analysis, we found that NPI measures implemented in Shanghai were not sufficient to reduce the reproduction number to below unity. Thus, earlier intervention only has limited effect on reducing cases. The outbreak dies out because of only 27% of the population were active in disease transmission, possibly due to a combination of vaccination and lockdown.

摘要

背景

2022 年 3 月,SARS-CoV-2 的奥密克戎变异株在中国上海迅速传播。该市采取了严格的非药物干预(NPI)措施,包括封锁(3 月 28 日在浦东实施,4 月 1 日在浦西实施)和全面 PCR 检测(4 月 4 日)。本研究旨在了解这些措施的效果。

方法

我们从官方报告中整理了每日病例数,并为 3 月 19 日至 4 月 21 日期间的数据拟合了两补丁随机 SEIR 模型。该模型考虑了上海的两个地区,即浦东和浦西,因为上海的控制措施实施日期在这两个地区不同。我们使用 4 月 22 日至 6 月 26 日的数据验证了我们的拟合结果。最后,我们应用参数值的点估计来模拟我们的模型,同时改变控制措施实施的日期,并研究控制措施的效果。

结果

我们的参数值点估计产生的预期病例数与 3 月 19 日至 4 月 21 日和 4 月 22 日至 6 月 26 日期间的数据吻合较好。封锁并没有显著降低区域内的传播率。只有约 21%的病例得到报告。基本再生数 R0 为 1.7,而实施封锁和全面 PCR 检测的控制再生数为 1.3。如果这两种措施都在 3 月 19 日实施,只有约 5.9%的感染可以得到预防。

结论

通过我们的分析,我们发现上海实施的 NPI 措施不足以将繁殖数降低到 1 以下。因此,早期干预对减少病例的效果有限。由于只有 27%的人口在传播疾病,疫情可能由于疫苗接种和封锁的综合作用而自行消退。

https://cdn.ncbi.nlm.nih.gov/pmc/blobs/092f/10194905/e15235fa52ab/pone.0285937.g001.jpg

文献AI研究员

20分钟写一篇综述,助力文献阅读效率提升50倍。

立即体验

用中文搜PubMed

大模型驱动的PubMed中文搜索引擎

马上搜索

文档翻译

学术文献翻译模型,支持多种主流文档格式。

立即体验