Suppr超能文献

使用定量SPECT/CT对[锝]标记的单域程序性死亡配体1(PD-L1)抗体NM-01在非小细胞肺癌中的评分者间和评分者内一致性。

Inter-rater and intra-rater agreement of [Tc]-labelled NM-01, a single-domain programmed death-ligand 1 (PD-L1) antibody, using quantitative SPECT/CT in non-small cell lung cancer.

作者信息

Hughes Daniel Johnathan, Chand Gitasha, Johnson Jessica, Bailey Damion, Adamson Kathryn, Goh Vicky, Cook Gary J R

机构信息

Department of Cancer Imaging, School of Biomedical Engineering and Imaging Sciences, King's College London, London, UK.

King's College London and Guy's and St. Thomas' PET Centre, Lambeth Wing, St Thomas' Hospital, Westminster Bridge Road, London, SE1 7EH, UK.

出版信息

EJNMMI Res. 2023 May 31;13(1):51. doi: 10.1186/s13550-023-01002-4.

Abstract

BACKGROUND

Immune checkpoint inhibitors, including those against programmed cell death protein-1 (PD-1) or its ligand (PD-L1), are routinely used to treat non-small cell lung cancer (NSCLC). PD-L1 is a validated prognostic and predictive immunohistochemical biomarker of anti-PD-1/PD-L1 therapy but displays temporospatial heterogeneity of expression. Non-invasive radiopharmaceutical techniques, including technetium-99m [Tc]-labelled anti-PD-L1 single-domain antibody (NM-01) SPECT/CT, have the potential to improve the predictive value of PD-L1 assessment. This study aims to determine the inter- and intra-rater agreement of the quantitative measurement of [Tc]NM-01 SPECT/CT in NSCLC.

METHODS

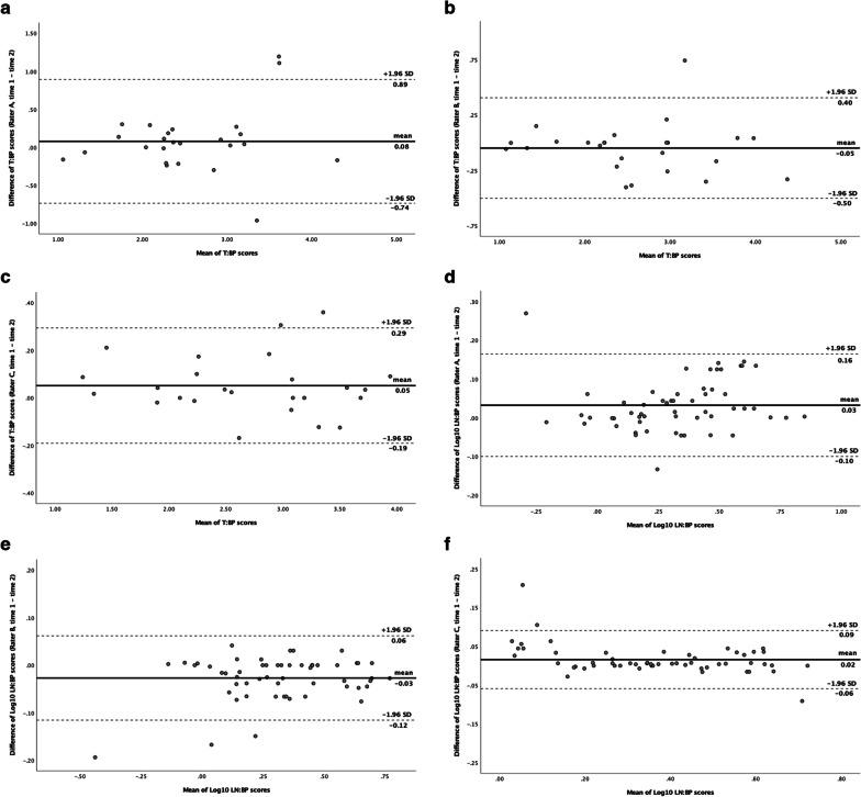
Participants (n = 14) with untreated advanced NSCLC underwent [Tc]NM-01 SPECT/CT at baseline (n = 3) or at baseline plus 9-week follow-up (n = 11). [Tc]NM-01 uptake (of primary lung, lymph node, thoracic and distant metastases, and healthy reference tissues) was measured using SUV and malignant lesion-to-blood pool ratios with Siemens xSPECT Broad Quantification software by three independent raters. Intraclass correlation coefficients (ICC) were calculated and Bland-Altman plot analysis performed to determine inter- and intra-rater agreement.

RESULTS

There was excellent inter-rater agreement of manual freehand SUV scores of primary lung tumour (T; n = 25; ICC 1.00; 95% CI 0.99-1.00), individual lymph node metastases (LN; n = 56; ICC 0.97; 95% CI 0.95-0.98), thoracic metastases (ThMet; n = 9; ICC 0.94; 95% CI 0.83-0.99) and distant metastases (DisMet; n = 21; ICC 0.91; 95% CI 0.83-0.96). The inter-rater ICCs of tumour-to-blood pool (T:BP), LN:BP, ThMet:BP and DisMet:BP measures of [Tc]NM-01 uptake also demonstrated good or excellent agreement. Manual freehand scoring of T, LN, ThMet, DisMet and their ratios using [Tc]NM-01 SPECT/CT following a 28-day interval was consistent for all raters with good or excellent intra-rater agreement demonstrated (ICCs range 0.86-1.00).

CONCLUSION

Quantitative assessment of [Tc]NM-01 SPECT/CT in NSCLC, using SUV of malignant primary or metastatic lesions and their ratios with healthy reference tissues, demonstrated good or excellent inter- and intra-rater agreement in this study. Further validation with ongoing and future larger cohort studies is now warranted.

CLINICAL TRIAL REGISTRATION

ClinicalTrials.gov identifier no. NCT04436406 (registered 18th June 2020; available at https://clinicaltrials.gov/ct2/show/NCT04436406 ) and NCT04992715 (registered 5th August 2021; available at https://clinicaltrials.gov/ct2/show/NCT04992715 ).

摘要

背景

免疫检查点抑制剂,包括那些针对程序性细胞死亡蛋白1(PD-1)或其配体(PD-L1)的抑制剂,常用于治疗非小细胞肺癌(NSCLC)。PD-L1是一种经过验证的抗PD-1/PD-L1治疗的预后和预测性免疫组化生物标志物,但显示出表达的时空异质性。非侵入性放射性药物技术,包括锝-99m [Tc]标记的抗PD-L1单域抗体(NM-01)SPECT/CT,有可能提高PD-L1评估的预测价值。本研究旨在确定NSCLC中[Tc]NM-01 SPECT/CT定量测量的评分者间和评分者内一致性。

方法

14例未经治疗的晚期NSCLC患者在基线时(n = 3)或基线加9周随访时(n = 11)接受了[Tc]NM-01 SPECT/CT检查。使用西门子xSPECT Broad Quantification软件,由三名独立的评分者通过标准化摄取值(SUV)和恶性病变与血池比值来测量[Tc]NM-01摄取(原发性肺、淋巴结、胸部和远处转移灶以及健康对照组织)。计算组内相关系数(ICC)并进行Bland-Altman图分析,以确定评分者间和评分者内的一致性。

结果

原发性肺肿瘤(T;n = 25;ICC 1.00;95% CI 0.99 - 1.00)、单个淋巴结转移灶(LN;n = 56;ICC 0.97;95% CI 0.95 - 0.98)、胸部转移灶(ThMet;n = 9;ICC 0.94;95% CI 0.83 - 0.99)和远处转移灶(DisMet;n = 21;ICC 0.91;95% CI 0.83 - 0.96)的徒手SUV评分具有出色的评分者间一致性。[Tc]NM-01摄取的肿瘤与血池(T:BP)、LN:BP、ThMet:BP和DisMet:BP测量的评分者间ICC也显示出良好或出色的一致性。在间隔28天后,所有评分者对使用[Tc]NM-01 SPECT/CT对T、LN、ThMet、DisMet及其比值进行徒手评分均保持一致,显示出良好或出色的评分者内一致性(ICC范围为0.86 - 1.00)。

结论

在本研究中,使用恶性原发性或转移性病变的SUV及其与健康对照组织的比值对NSCLC中的[Tc]NM-01 SPECT/CT进行定量评估,显示出良好或出色的评分者间和评分者内一致性。现在有必要通过正在进行的和未来更大规模的队列研究进行进一步验证。

临床试验注册

ClinicalTrials.gov标识符编号为NCT04436406(于2020年6月18日注册;可在https://clinicaltrials.gov/ct2/show/NCT04436406获取)和NCT04992715(于2021年8月5日注册;可在https://clinicaltrials.gov/ct2/show/NCT04

https://cdn.ncbi.nlm.nih.gov/pmc/blobs/2ed4/10232393/c330cd4a7dac/13550_2023_1002_Fig1_HTML.jpg

文献AI研究员

20分钟写一篇综述,助力文献阅读效率提升50倍。

立即体验

用中文搜PubMed

大模型驱动的PubMed中文搜索引擎

马上搜索

文档翻译

学术文献翻译模型,支持多种主流文档格式。

立即体验