Dabas Prashita, Nayak Biswa P, Khajuria Himanshu, Jain Sonal, Dutt Sarjana, Saraswathy Kallur N
Amity Institute of Forensic Sciences, Amity University, Noida, Uttar Pradesh, India.
Dept. of Anthropology, University of Delhi, Delhi, India.
Indian Dermatol Online J. 2023 Apr 27;14(3):366-370. doi: 10.4103/idoj.idoj_400_22. eCollection 2023 May-Jun.
Remarkable diversity of skin tones among Indians ranging from pale pinkish to dark brown appears to be an ideal choice for the assessment of skin pigment variation.
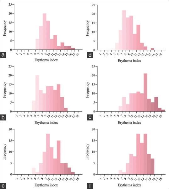
The present study was designed to assess the variation observed in melanin and erythema indices among north Indians.
Skin reflectance data (n = 574) was collected from six diverse populations of north India using DermaSpectrometer (DSM II ColorMeter) followed by statistical analysis to investigate the impact of geographical location and gender on constitutive skin pigmentation.
The melanin index (MI) varied between 17.93 and 56.92 (Mean = 35.80 ± 6.26) whereas the erythema index (EI) varied between 4.92 and 18.82 ( = 10.48 ± 2.68). MI and EI of females were found to be significantly lower than males ( < 0.001). Geographical location exhibited a significant association with MI and EI ( < 0.001). Furthermore, we have noted a positive correlation between MI and EI ( < 0.001).
The study has refined our understanding of skin pigmentation variation among north Indians in terms of significant association with geographical location {MI: = 31.07, < 0.001; EI: = 73.37, < 0.001} and gender {MI: = -4.06, < 0.001; EI: = -11.96, < 0.001} and rendered opportunities for further studies.
印度人肤色差异显著,从浅粉到深棕不等,这似乎是评估皮肤色素变化的理想选择。
本研究旨在评估北印度人黑色素和红斑指数的变化情况。
使用皮肤光谱仪(DSM II ColorMeter)从印度北部六个不同人群中收集皮肤反射数据(n = 574),随后进行统计分析,以研究地理位置和性别对皮肤固有色素沉着的影响。
黑色素指数(MI)在17.93至56.92之间变化(平均值 = 35.80 ± 6.26),而红斑指数(EI)在4.92至18.82之间变化(平均值 = 10.48 ± 2.68)。发现女性的MI和EI显著低于男性(P < 0.001)。地理位置与MI和EI存在显著关联(P < 0.001)。此外,我们注意到MI和EI之间存在正相关(P < 0.001)。
该研究在与地理位置{MI:F = 31.07,P < 0.001;EI:F = 73.37,P < 0.001}和性别{MI:F = -4.06,P < 0.001;EI:F = -11.96,P < 0.001}的显著关联方面,完善了我们对北印度人皮肤色素沉着变化的理解,并为进一步研究提供了机会。