Department of Neurology, The First Hospital of Hebei Medical University, Shijiangzhuang City, Hebei Province, China.
Xuanwu Hospital Capital Medical University, Beijing, China.
Neurogenetics. 2023 Jul;24(3):201-208. doi: 10.1007/s10048-023-00722-y. Epub 2023 Jun 8.
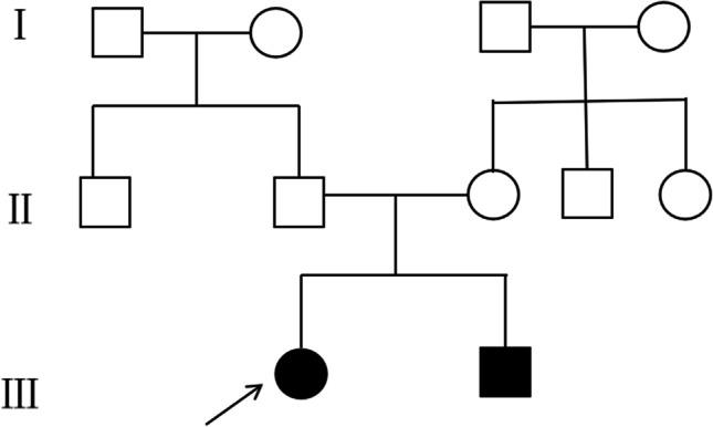
Unlike the 1p36 microdeletion syndrome, which has been extensively described, 1p36.3 microduplications have rarely been reported. We report the two siblings of familial 1p36.3 microduplication, presenting with a severe global developmental delay, epilepsy, and a few dysmorphic features. They were referred to moderate-to-severe developmental delay (DD) and intellectual disability (ID). Both were considered eyelid myoclonus with absence of epilepsy (Jeavons syndrome). The EEG is characterized by widespread 2.5-3.5 Hz spikes and spike slow complex wave, eye closure sensitivity, and photosensitivity. The children has same dysmorphic features, including mild bitemporal narrowing and sloping forehead, sparse eyebrows, hypertelorism, ptosis, strabismus, infraorbital creases, wide nasal bridge with bulbous nasal tip, dystaxia, hallux valgus, and flat feet. Family exome sequencing revealed a maternally inherited 3.2-Mb microduplication of chromosomal band 1p36.3p36.2. However, DNA purified from blood samples of either parent did not find evidence for a microduplication of 1p36 in somatic tissue, indicating that such a mutation might be carried in the germline of the parents as gonadal mosaicism. No other family members of the affected siblings' parents were reported to be affected by the symptoms found.
与已广泛描述的 1p36 微缺失综合征不同,1p36.3 微重复症极为罕见。我们报道了一对患有家族性 1p36.3 微重复症的同胞兄妹,他们表现出严重的全面发育迟缓、癫痫和一些发育不良特征。他们被转诊为中重度发育迟缓(DD)和智力障碍(ID)。两人均被认为是伴有癫痫发作的眼睑肌阵挛(Jeavons 综合征)。EEG 表现为广泛的 2.5-3.5 Hz 棘波和棘慢复合波,闭眼敏感和光敏感。两个孩子都有相同的发育不良特征,包括轻度颞部狭窄和额部倾斜、稀疏的眉毛、远视、上睑下垂、斜视、眶下皱纹、宽鼻梁和球状鼻尖、运动失调、大脚趾外翻和扁平足。家系外显子组测序显示,患儿母亲携带 1p36.3p36.2 染色体带 3.2Mb 的微重复。然而,从父母任何一方的血液样本中提取的 DNA 均未发现 1p36 体细胞组织的微重复证据,这表明这种突变可能存在于父母的生殖细胞中,即性腺嵌合体。受影响的兄弟姐妹的父母的其他家庭成员均未报告出现所发现的症状。