Suppr超能文献

脱硫电解锰渣水泥物理性能及砂浆性能研究

Study on Physical Properties of Desulfurized Electrolytic Manganese Residue Cement and Properties of Mortar.

作者信息

Chen Shichao, Wang Fang, Ma Lihua, Che Jialing

机构信息

School of Civil and Hydraulic Engineering, Ningxia University, Yinchuan 750021, China.

Tian Yuan Manganese Industry Group Co., Ltd., Zhongwei 755100, China.

出版信息

Materials (Basel). 2023 May 28;16(11):4035. doi: 10.3390/ma16114035.

Abstract

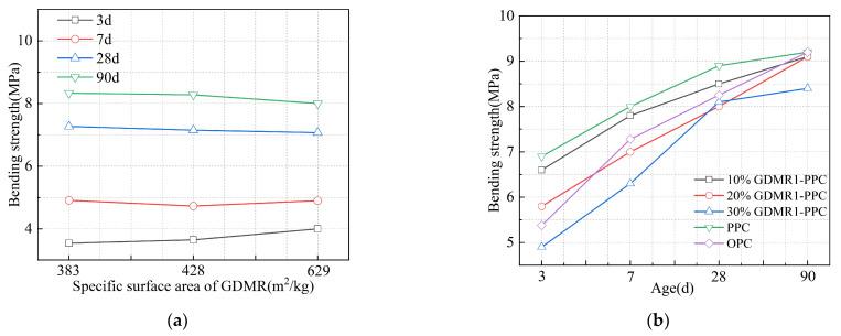
The desulfurized electrolytic manganese residue (DMR) was prepared by calcination and desulfurization of industrial waste electrolytic manganese residue, and the original DMR was ground to prepare DMR fine powder (GDMR) with specific surface areas of 383 m/kg, 428 m/kg, and 629 m/kg. The effects of particle fineness and content of GDMR (GDMR content=0%, 10%, 20%, 30%) on the physical properties of cement and the mechanical properties of mortar were studied. After that, the leachability of heavy metal ions was tested, and the hydration products of GDMR cement were analyzed using XRD and SEM. The results show that the addition of GDMR can regulate the fluidity and water requirement for the normal consistency of cement, delay the hydration process of cement, increase the initial setting and final setting time of cement, and reduce the strength of cement mortar, especially the strength of early age mortar. As the fineness of GDMR increases, the reduction of bending strength and compressive strength decreases, and the activity index increases. The content of GDMR has a significant effect on short-term strength. With the increase in GDMR content, the strength reduction degree becomes higher and the activity index decreases. When the content of GDMR was 30%, the 3D compressive strength and bending strength decreased by 33.1% and 29%. When the content of GDMR in cement is less than 20%, the maximum limit of leachable heavy metal content in cement clinker can be met.

摘要

通过对工业废弃电解锰渣进行煅烧和脱硫制备了脱硫电解锰渣(DMR),并将原始DMR粉磨制备了比表面积分别为383 m²/kg、428 m²/kg和629 m²/kg的DMR细粉(GDMR)。研究了GDMR的颗粒细度和含量(GDMR含量=0%、10%、20%、30%)对水泥物理性能和砂浆力学性能的影响。之后,测试了重金属离子的浸出性,并采用XRD和SEM分析了GDMR水泥的水化产物。结果表明,添加GDMR可调节水泥的流动性和标准稠度需水量,延缓水泥的水化进程,延长水泥的初凝和终凝时间,并降低水泥砂浆的强度,尤其是早期砂浆的强度。随着GDMR细度的增加,抗折强度和抗压强度的降低幅度减小,活性指数增加。GDMR的含量对短期强度有显著影响。随着GDMR含量的增加,强度降低程度更高,活性指数降低。当GDMR含量为30%时,3天抗压强度和抗折强度分别降低了33.1%和29%。当水泥中GDMR的含量小于20%时,可满足水泥熟料中重金属可浸出含量的最大限值。

https://cdn.ncbi.nlm.nih.gov/pmc/blobs/3382/10254673/886b489ad83e/materials-16-04035-g001.jpg

文献AI研究员

20分钟写一篇综述,助力文献阅读效率提升50倍。

立即体验

用中文搜PubMed

大模型驱动的PubMed中文搜索引擎

马上搜索

文档翻译

学术文献翻译模型,支持多种主流文档格式。

立即体验