Suppr超能文献

基于微裂纹结构和复合导电机制的柔性压力传感器在医疗机器人中的应用

Flexible Pressure Sensors Based on Microcrack Structure and Composite Conductive Mechanism for Medical Robotic Applications.

作者信息

Zou Qiang, Xie Yuheng, Yin Yunjiang, Liu Baoguo, Yu Yi

机构信息

School of Microelectronics, Tianjin University, Tianjin 300072, China.

Tianjin International Joint Research Center for Internet of Things, Tianjin 300072, China.

出版信息

Micromachines (Basel). 2023 May 25;14(6):1110. doi: 10.3390/mi14061110.

Abstract

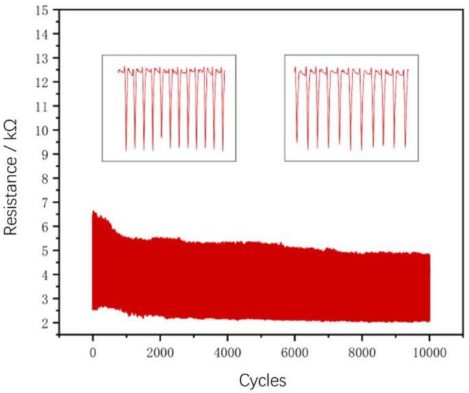
With the advancement of intelligent medical robot technology, machine touch utilizing flexible sensors has emerged as a prominent research area. In this study, a flexible resistive pressure sensor was designed incorporating a microcrack structure with air pores and a composite conductive mechanism of silver/carbon. The aim was to achieve enhanced stability and sensitivity with the inclusion of macro through-holes (1-3 mm) to expand the sensitive range. This technology solution was specifically applied to the machine touch system of the B-ultrasound robot. Through meticulous experimentation, it was determined that the optimal approach involved uniformly blending ecoflex and nano carbon powder at a mass ratio of 5:1, and subsequently combining the mixture with an ethanol solution of silver nanowires (AgNWs) at a mass ratio of 6:1. This combination of components resulted in the fabrication of a pressure sensor with optimal performance. Under the pressure testing condition of 5 kPa, a comparison of the resistance change rate was conducted among samples using the optimal formulation from the three processes. It was evident that the sample of ecoflex-C-AgNWs/ethanol solution exhibited the highest sensitivity. Its sensitivity was increased by 19.5% compared to the sample (ecoflex-C) and by 11.3% compared to the sample (ecoflex-C-ethanol). The sample (ecoflex-C-AgNWs/ethanol solution), which only incorporated internal air pore microcracks without through-holes, exhibited sensitive response to pressures below 5 N. However, with the addition of through-holes, the measurement range of its sensitive response increased to 20 N, representing a 400% increase in the measurement range.

摘要

随着智能医疗机器人技术的发展,利用柔性传感器的机器触觉已成为一个突出的研究领域。在本研究中,设计了一种柔性电阻式压力传感器,其具有带气孔的微裂纹结构和银/碳复合导电机制。目的是通过包含宏观通孔(1 - 3毫米)来扩大敏感范围,从而提高稳定性和灵敏度。该技术方案专门应用于B超机器人的机器触觉系统。通过细致的实验,确定最佳方法是将ecoflex和纳米碳粉按质量比5:1均匀混合,随后将该混合物与银纳米线(AgNWs)乙醇溶液按质量比6:1混合。这种组分组合导致制造出性能最佳的压力传感器。在5 kPa的压力测试条件下,对来自三个工艺的最佳配方样品进行了电阻变化率比较。显然,ecoflex - C - AgNWs/乙醇溶液样品表现出最高的灵敏度。与样品(ecoflex - C)相比,其灵敏度提高了19.5%,与样品(ecoflex - C - 乙醇)相比提高了11.3%。仅包含内部气孔微裂纹而无通孔的样品(ecoflex - C - AgNWs/乙醇溶液)对低于5 N的压力表现出敏感响应。然而,随着通孔的加入,其敏感响应的测量范围增加到20 N,测量范围增加了400%。

https://cdn.ncbi.nlm.nih.gov/pmc/blobs/ba89/10303275/c6011e001623/micromachines-14-01110-g001.jpg

文献AI研究员

20分钟写一篇综述,助力文献阅读效率提升50倍。

立即体验

用中文搜PubMed

大模型驱动的PubMed中文搜索引擎

马上搜索

文档翻译

学术文献翻译模型,支持多种主流文档格式。

立即体验