Suppr超能文献

威布尔分布的一种新的三角函数修正:控制图及其在质量控制中的应用。

A new trigonometric modification of the Weibull distribution: Control chart and applications in quality control.

机构信息

Department of Quantitative Methods, School of Business, King Faisal University, Al-Ahsa, Saudi Arabia.

Department of Statistics, Quad-i-Azam University, Islamabad, Pakistan.

出版信息

PLoS One. 2023 Jul 12;18(7):e0286593. doi: 10.1371/journal.pone.0286593. eCollection 2023.

Abstract

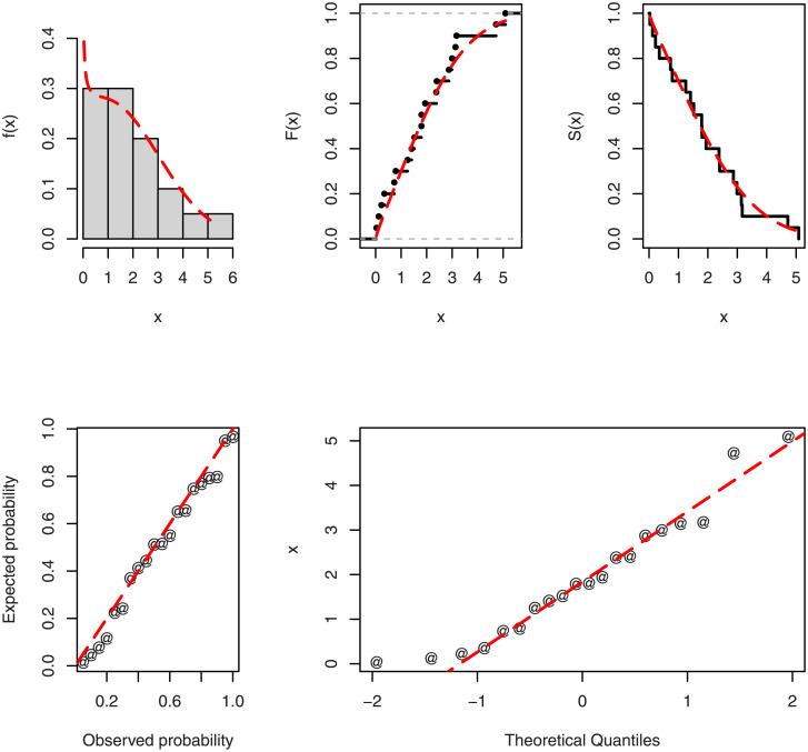
In the most recent era, the extensions of the probability models via trigonometry methods have received great attention. This paper also offers a novel trigonometric version of the Weibull model called a type-I cosine exponentiated Weibull (for short "TICE-Weibull") distribution. The identifiability properties for all three parameters of the TICE-Weibull model are derived. The estimators of the TICE-Weibull model are derived by implementing the maximum likelihood approach. To demonstrate the effectiveness of the TICE-Weibull model, two applications from real-world phenomena are analyzed. In addition, the proposed statistical model is established for an attribute control chart based on a time-truncated life test. The advantage of the developed charts is examined based on the average run length (ARL). The necessary tables of shift sizes and various sample sizes are offered for numerous values of the distribution parameters, as well as specified ARL and shift constants. Some numerical examples are discussed for various scheme parameters to study the performance of the new TICE-Weibull attribute control charts. According to our search and a brief study of the statistical literature, there is no published work on the development of a control chart using new probability models that are introduced using the cosine function. This is the key motivation of this work, which fills this amazing and interesting research gap.

摘要

在最近的一个时期,通过三角方法扩展概率模型受到了极大的关注。本文还提供了威布尔模型的一种新的三角版本,称为 I 型余弦指数威布尔(简称“TICE-Weibull”)分布。推导出了 TICE-Weibull 模型的所有三个参数的可识别性属性。通过实施最大似然方法推导出了 TICE-Weibull 模型的估计值。为了演示 TICE-Weibull 模型的有效性,分析了两个来自现实世界现象的应用。此外,还为基于时间截断寿命试验的属性控制图建立了所提出的统计模型。基于平均运行长度 (ARL) 检查了所开发图表的优势。为分布参数的许多值以及指定的 ARL 和移位常数提供了移位大小和各种样本大小的必要表格。针对各种方案参数讨论了一些数值示例,以研究新的 TICE-Weibull 属性控制图的性能。根据我们的搜索和对统计文献的简要研究,没有使用余弦函数引入的新概率模型开发控制图的已发表工作。这是这项工作的关键动机,填补了这一令人惊叹和有趣的研究空白。

https://cdn.ncbi.nlm.nih.gov/pmc/blobs/10a7/10337983/33b7cbe768ab/pone.0286593.g001.jpg

文献AI研究员

20分钟写一篇综述,助力文献阅读效率提升50倍。

立即体验

用中文搜PubMed

大模型驱动的PubMed中文搜索引擎

马上搜索

文档翻译

学术文献翻译模型,支持多种主流文档格式。

立即体验