Suppr超能文献

人端粒酶逆转录酶启动子突变与胶质瘤不良预后的关联:一项系统评价和荟萃分析

Association of human telomerase reverse transcriptase promoter mutation with unfavorable prognosis in glioma: A systematic review and meta-analysis.

作者信息

Hua Rongxuan, Li Qiuxuan, Gao Han, Wang Boya, He Chengwei, Wang Ying, Zhang Sitian, Gao Lei, Shang Hongwei, Wang Wen, Xu Jingdong

机构信息

Department of Clinical Medicine, School of Basic Medical Sciences, Capital Medical University, Beijing, China.

Department of Physiology and Pathophysiology, School of Basic Medical Sciences, Capital Medical University, Beijing, China.

出版信息

J Res Med Sci. 2023 Jun 12;28:47. doi: 10.4103/jrms.jrms_371_22. eCollection 2023.

Abstract

BACKGROUND

Glioma is one of the most malignant and aggressive tumors, with an extremely poor prognosis. Human telomerase reverse transcriptase (hTERT) promoter mutation is regarded as a risk factor in tumor growth. Although the prevalence of hTERT promoter (pTERT) mutation in gliomas has been investigated, the results are inconsistent. This meta-analysis aims to investigate the prognostic value of hTERT in glioma patients and its interaction with other biomarkers.

MATERIALS AND METHODS

We searched 244 citations from four databases: PubMed (2000-2021), Web of Science (2000-2021), Embase (2010-2021), and Cochrane Library (2000-2021) with 28 articles included.

RESULTS

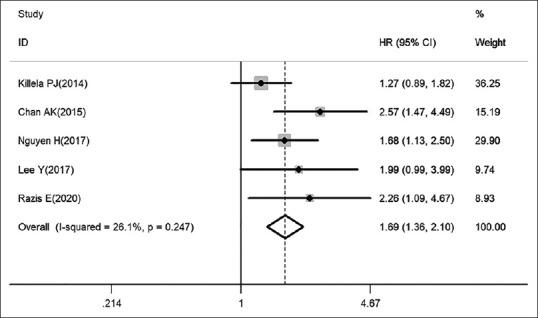
We calculated hazard ratios (HRs) using the random effect model and the pooled result suggested that TERT promoter mutation predicted poorer overall survival (HR: 1.53, 95% confidence interval [CI]: 1.34-1.75, < 0.001, I2: 49.9%, pheterogeneity:0.002) and progression-free survival (HR: 1.55, 95% CI: 1.27-1.88, < 0.001, I2: 0.0%, pheterogeneity: 0.473). For subgroup analysis, we analyzed multiple factors including iso-citrate dehydrogenase (IDH) genotype, age, diagnosis, pTERT region, so as to locate the sources of heterogeneity. Interestingly, in IDH mutant subgroup, pTERT mutation became a beneficial prognostic factor (HR: 0.73, 95% CI: 0.57-0.93, I2: 22.3%, pheterogeneity: 0.277), which is contrary to the results in pooled analysis.

CONCLUSION

In general, pTERT mutation may result in shorter survival time in glioma patients, but longer survival time when glioma patients are combined with IDH mutation.

摘要

背景

胶质瘤是最恶性且侵袭性最强的肿瘤之一,预后极差。人端粒酶逆转录酶(hTERT)启动子突变被视为肿瘤生长的一个危险因素。尽管已对胶质瘤中hTERT启动子(pTERT)突变的发生率进行了研究,但其结果并不一致。本荟萃分析旨在探讨hTERT在胶质瘤患者中的预后价值及其与其他生物标志物的相互作用。

材料与方法

我们从四个数据库(PubMed[2000 - 2021年]、Web of Science[2000 - 2021年]、Embase[2010 - 2021年]和Cochrane图书馆[2000 - 2021年])搜索到244篇文献,纳入了28篇文章。

结果

我们使用随机效应模型计算风险比(HRs),汇总结果表明TERT启动子突变预示着较差的总生存期(HR:1.53,95%置信区间[CI]:1.34 - 1.75,<0.001,I²:49.9%,异质性p:0.002)和无进展生存期(HR:1.55,95%CI:1.27 - 1.88,<0.001,I²:0.0%,异质性p:0.473)。对于亚组分析,我们分析了多个因素,包括异柠檬酸脱氢酶(IDH)基因型、年龄、诊断、pTERT区域,以确定异质性的来源。有趣的是,在IDH突变亚组中,pTERT突变成为一个有益的预后因素(HR:0.73,95%CI:0.57 - 0.93,I²:22.3%,异质性p:0.277)这与汇总分析的结果相反。

结论

总体而言,pTERT突变可能导致胶质瘤患者生存时间缩短,但当胶质瘤患者合并IDH突变时生存时间延长。

https://cdn.ncbi.nlm.nih.gov/pmc/blobs/0c16/10366975/6296b8aa7704/JRMS-28-47-g001.jpg

文献AI研究员

20分钟写一篇综述,助力文献阅读效率提升50倍。

立即体验

用中文搜PubMed

大模型驱动的PubMed中文搜索引擎

马上搜索

文档翻译

学术文献翻译模型,支持多种主流文档格式。

立即体验