Zhang Shengping, De Leon Rodriguez Luis M, Li Freda F, Brimble Margaret A
Center for Translational Medicine, Shenzhen Bay Laboratory New Zealand.
School of Chemical Sciences, The University of Auckland 23 Symonds St Auckland 1010 New Zealand
Chem Sci. 2023 Jun 27;14(29):7782-7817. doi: 10.1039/d3sc02543h. eCollection 2023 Jul 26.
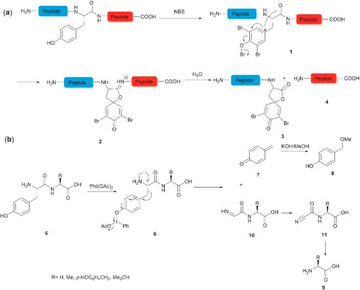
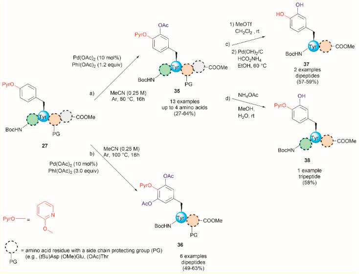
Peptide and protein selective modification at tyrosine residues has become an exploding field of research as tyrosine constitutes a robust alternative to lysine and cysteine-targeted traditional peptide/protein modification protocols. This review offers a comprehensive summary of the latest advances in tyrosine-selective cleavage, functionalization, and conjugation of peptides and proteins from the past three years. This updated overview complements the extensive body of work on site-selective modification of peptides and proteins, which holds significant relevance across various disciplines, including chemical, biological, medical, and material sciences.
由于酪氨酸为赖氨酸和以半胱氨酸为靶点的传统肽/蛋白质修饰方案提供了强大的替代方案,因此在酪氨酸残基处进行肽和蛋白质的选择性修饰已成为一个蓬勃发展的研究领域。本综述全面总结了过去三年中肽和蛋白质在酪氨酸选择性切割、功能化及共轭方面的最新进展。这一更新后的概述补充了关于肽和蛋白质位点选择性修饰的大量研究工作,这些研究在化学、生物学、医学和材料科学等各个学科中都具有重要意义。