Suppr超能文献

用……进行肠道定植会影响肉鸡肠道微生物群组成,但不受……每日摄入量的抑制。 (你提供的原文不完整,部分关键信息缺失,所以翻译可能会不太准确。请补充完整原文信息以便更准确翻译。)

Intestinal colonization with affects broiler gut microbiota composition but is not inhibited by daily intake of .

作者信息

Valečková Eliška, Sun Li, Wang Helen, Dube Faruk, Ivarsson Emma, Kasmaei Kamyar Mogodiniyai, Ellström Patrik, Wall Helena

机构信息

Department of Animal Nutrition and Management, Swedish University of Agricultural Sciences, Uppsala, Sweden.

Department of Medical Biochemistry and Microbiology, Uppsala University, Uppsala, Sweden.

出版信息

Front Microbiol. 2023 Jul 28;14:1205797. doi: 10.3389/fmicb.2023.1205797. eCollection 2023.

Abstract

INTRODUCTION

Lactobacilli may prevent broilers from colonization with spp. and other gram-negative zoonotic bacteria through lactic acid production and modulation of the intestinal microbiota. This study evaluated the effects of daily intake of 256 (LP256) on loads in ceca and feces of challenged broilers, together with the changes in the gut microbiota.

METHODS

Two experiments were conducted using the broilers Ross 308 (R-308; Experiment 1) for 42 days and Rowan Ranger broilers (RR; Experiment 2) for 63 days. The strain was administered either via silage inoculated with or direct supplementation in the drinking water. Concurrently, haylage as a forage similar to silage but without any inoculum was tested. loads in fecal matter and cecal content were determined by plate counts and qPCR, respectively. The cecal microbiota, in response to treatments and the challenge, were assessed by 16S rRNA sequencing.

RESULTS AND DISCUSSION

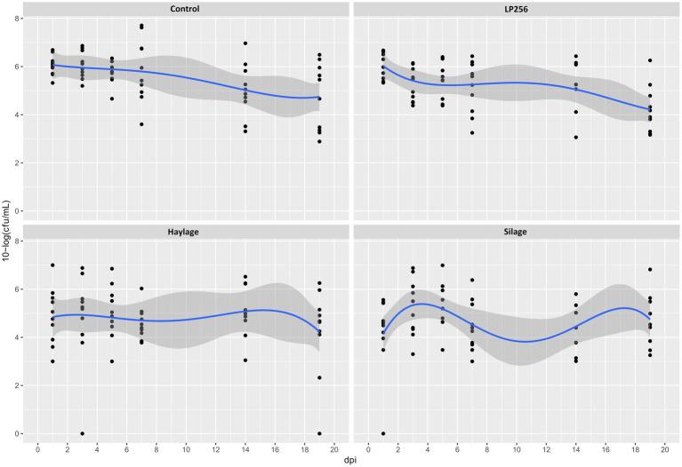
Culturing results displayed a significant reduction in colonization (2.01 log) in the silage treatment in comparison to the control at 1 dpi (day post-infection) in Experiment 1. However, no treatment effect on was observed at the end of the experiment. In Experiment 2, no treatment effects on colonization were found to be statistically significant. Colonization load comparison at the peak of infection (3 dpi) to that at the end of the trial (32 dpi) revealed a significant reduction in in all groups, regardless of treatment. Colonization dynamics of in the cecal samples analyzed by qPCR showed no difference between any of the treatments in Experiment 1 or 2. In both experiments, no treatment effects on the cecal microbiota were observed. However, proportional changes in the bacterial composition were observed after the challenge, suggesting that colonization affected the gut microbiota. Overall, the daily intake of was not effective in reducing colonization in either broiler type at the end of the rearing period and did not cause any significant changes in the birds' cecal microbiota composition.

摘要

引言

乳酸杆菌可通过产生乳酸和调节肠道微生物群来防止肉鸡被某些菌属及其他革兰氏阴性人畜共患病菌定植。本研究评估了每日摄入256株乳酸杆菌(LP256)对受挑战肉鸡盲肠和粪便中某些菌载量的影响,以及肠道微生物群的变化。

方法

进行了两项试验,使用罗斯308肉鸡(R - 308;试验1)为期42天,罗曼粉肉鸡(RR;试验2)为期63天。该乳酸杆菌菌株通过接种了它的青贮饲料或直接添加到饮用水中进行投喂。同时,测试了作为类似青贮饲料但未接种任何菌剂的草料的干草青贮。粪便物质和盲肠内容物中的菌载量分别通过平板计数和定量聚合酶链反应(qPCR)测定。通过16S核糖体RNA测序评估盲肠微生物群对处理和挑战的反应。

结果与讨论

培养结果显示,在试验1中,与对照组相比,青贮处理在感染后第1天(dpi)时某些菌的定植显著减少(2.01对数)。然而,在试验结束时未观察到对某些菌的处理效果。在试验2中,未发现对某些菌定植的处理效果具有统计学意义。在感染高峰期(3 dpi)与试验结束时(32 dpi)的定植载量比较显示,无论处理如何,所有组中某些菌均显著减少。通过qPCR分析的盲肠样本中某些菌的定植动态在试验1或试验2的任何处理之间均未显示差异。在两项试验中,均未观察到对盲肠微生物群的处理效果。然而,在某些菌挑战后观察到细菌组成的比例变化,表明定植影响了肠道微生物群。总体而言,在饲养期结束时,每日摄入该乳酸杆菌对减少两种肉鸡类型中某些菌的定植均无效,并且未导致鸡的盲肠微生物群组成发生任何显著变化。

https://cdn.ncbi.nlm.nih.gov/pmc/blobs/562a/10416237/987f75fc3ec1/fmicb-14-1205797-g001.jpg

文献AI研究员

20分钟写一篇综述,助力文献阅读效率提升50倍。

立即体验

用中文搜PubMed

大模型驱动的PubMed中文搜索引擎

马上搜索

文档翻译

学术文献翻译模型,支持多种主流文档格式。

立即体验