Department of Orthopaedics, Xiangya Hospital, Central South University, Changsha, China.
Hunan Key Laboratory of Joint Degeneration and Injury, Changsha, China.
JAMA Netw Open. 2023 Aug 1;6(8):e2331558. doi: 10.1001/jamanetworkopen.2023.31558.
Vitamin D deficiency is commonly associated with sarcopenia; however, the latest International Clinical Practice Guidelines for Sarcopenia do not recommend vitamin D supplementation for sarcopenia owing to a lack of an apparent therapeutic effect on the indices of sarcopenia among participants with replete vitamin D concentration (ie, 25-hydroxyvitamin D [25(OH)D] level >20 ng/mL) from randomized clinical trials. While there is consensus in all vitamin D guidelines that serum levels of 25(OH)D less than 10 ng/mL should be corrected, approximately 30% of the world population's 25(OH)D levels range from 10 to 20 ng/mL, and it remains unclear whether such suboptimal levels can maintain optimal health, including sarcopenia risk.
To investigate the association of serum 25(OH)D level, especially suboptimal levels, with sarcopenia risk.
DESIGN, SETTING, AND PARTICIPANTS: This genome-wide genetic association study was performed from August 2022 to February 2023 among the 295 489 unrelated European participants from the UK Biobank (2006-2010). Nonlinear and standard mendelian randomization analyses were used to examine the association of serum 25(OH)D concentration with sarcopenia risk.
A weighted genetic risk score using 35 unrelated single-nucleotide variants from the UK Biobank and weights from the SUNLIGHT Consortium was selected as an instrumental variable for serum 25(OH)D concentration.
The primary outcome was sarcopenia, and the secondary outcomes consisted of grip strength, appendicular lean mass index, and gait speed.
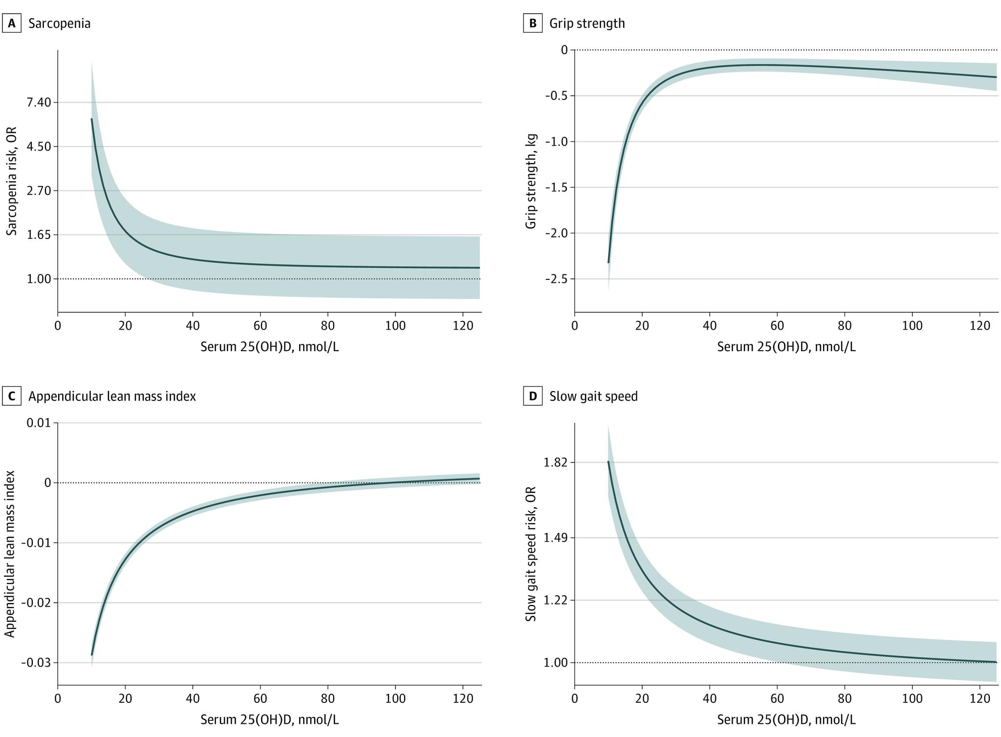
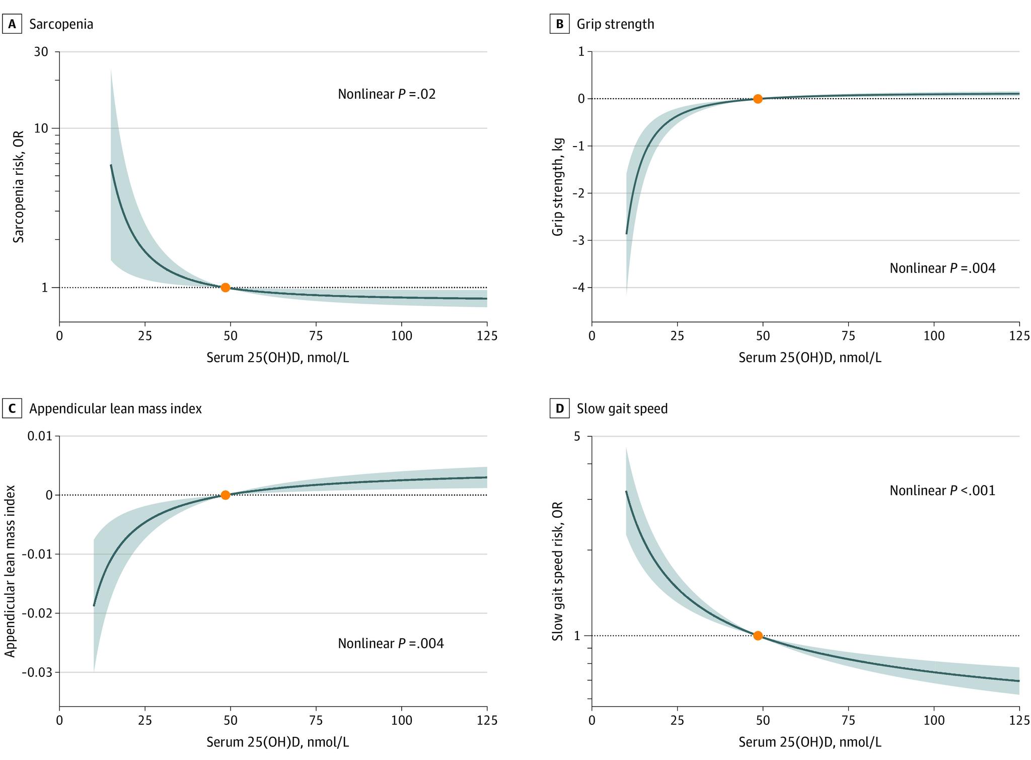
The final genetic analyses included 295 489 participants (mean [SD] age, 56.3 [8.1] years; 139 216 female [52.9%]). There was an L-shaped association between genetically predicted serum 25(OH)D concentration and sarcopenia risk. The risk of sarcopenia decreased rapidly as 25(OH)D concentration increased until 20 ng/mL and then leveled off. The odds ratio of sarcopenia for serum 25(OH)D level of 10 vs 20 ng/mL was 1.74 (95% CI, 1.17-2.59). Similar patterns were also observed when the association between serum 25(OH)D concentration and risks of each of the sarcopenia indices were evaluated.
In this mendelian randomization genetic association study of adults in the UK Biobank, the findings supported a nonlinear association between suboptimal 25(OH)D levels and sarcopenia risk. Randomized clinical trials among participants with suboptimal 25(OH)D levels are required to verify the potential causality.
维生素 D 缺乏通常与肌肉减少症有关;然而,最新的国际肌肉减少症临床实践指南由于缺乏对维生素 D 浓度充足(即 25-羟维生素 D [25(OH)D]水平>20ng/mL)的参与者中肌肉减少症指标的明显治疗效果,不建议补充维生素 D 用于肌肉减少症。虽然所有维生素 D 指南都一致认为血清 25(OH)D 水平应纠正至<10ng/mL,但全世界约 30%的人群 25(OH)D 水平在 10-20ng/mL 之间,目前尚不清楚这种亚最佳水平是否可以维持最佳健康状态,包括肌肉减少症风险。
研究血清 25(OH)D 水平,特别是亚最佳水平与肌肉减少症风险的关系。
设计、地点和参与者:这是一项全基因组遗传关联研究,于 2022 年 8 月至 2023 年 2 月期间在英国生物银行的 295489 名无亲缘关系的欧洲参与者(2006-2010 年)中进行。使用来自英国生物库的 35 个无关单核苷酸变异的加权遗传风险评分和 SUNLIGHT 联盟的权重,作为血清 25(OH)D 浓度的工具变量,进行非线性和标准孟德尔随机化分析,以研究血清 25(OH)D 浓度与肌肉减少症风险之间的关系。
使用来自英国生物库的 35 个无关单核苷酸变异的加权遗传风险评分和 SUNLIGHT 联盟的权重,作为血清 25(OH)D 浓度的工具变量。
主要结局为肌肉减少症,次要结局包括握力、四肢瘦体重指数和步态速度。
最终的遗传分析包括 295489 名参与者(平均[标准差]年龄,56.3[8.1]岁;139216 名女性[52.9%])。遗传预测的血清 25(OH)D 浓度与肌肉减少症风险之间存在 L 形关联。随着 25(OH)D 浓度的增加,肌肉减少症的风险迅速下降,直到 20ng/mL,然后趋于平稳。与血清 25(OH)D 水平为 10ng/mL 相比,25ng/mL 的肌肉减少症风险比为 1.74(95%CI,1.17-2.59)。当评估血清 25(OH)D 浓度与每个肌肉减少症指标的风险之间的关联时,也观察到了类似的模式。
在英国生物库中进行的这项成人孟德尔随机化遗传关联研究中,研究结果支持亚最佳 25(OH)D 水平与肌肉减少症风险之间的非线性关系。需要在亚最佳 25(OH)D 水平的参与者中进行随机临床试验,以验证潜在的因果关系。