Suppr超能文献

用于研究蛋白质精氨酸甲基化的化学探针和方法。

Chemical probes and methods for the study of protein arginine methylation.

作者信息

Brown Tyler, Nguyen Terry, Zhou Bo, Zheng Y George

机构信息

Department of Pharmaceutical and Biomedical Sciences, University of Georgia Athens GA 30602 USA

出版信息

RSC Chem Biol. 2023 Jul 28;4(9):647-669. doi: 10.1039/d3cb00018d. eCollection 2023 Aug 30.

Abstract

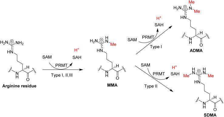
Protein arginine methylation is a widespread post-translational modification (PTM) in eukaryotic cells. This chemical modification in proteins functionally modulates diverse cellular processes from signal transduction, gene expression, and DNA damage repair to RNA splicing. The chemistry of arginine methylation entails the transfer of the methyl group from -adenosyl-l-methionine (AdoMet, SAM) onto a guanidino nitrogen atom of an arginine residue of a target protein. This reaction is catalyzed by about 10 members of protein arginine methyltransferases (PRMTs). With impacts on a variety of cellular processes, aberrant expression and activity of PRMTs have been shown in many disease conditions. Particularly in oncology, PRMTs are commonly overexpressed in many cancerous tissues and positively correlated with tumor initiation, development and progression. As such, targeting PRMTs is increasingly recognized as an appealing therapeutic strategy for new drug discovery. In the past decade, a great deal of research efforts has been invested in illuminating PRMT functions in diseases and developing chemical probes for the mechanistic study of PRMTs in biological systems. In this review, we provide a brief developmental history of arginine methylation along with some key updates in arginine methylation research, with a particular emphasis on the chemical aspects of arginine methylation. We highlight the research endeavors for the development and application of chemical approaches and chemical tools for the study of functions of PRMTs and arginine methylation in regulating biology and disease.

摘要

蛋白质精氨酸甲基化是真核细胞中一种广泛存在的翻译后修饰(PTM)。蛋白质中的这种化学修饰在功能上调节多种细胞过程,从信号转导、基因表达到DNA损伤修复以及RNA剪接。精氨酸甲基化的化学过程涉及将甲基从S-腺苷-L-甲硫氨酸(AdoMet,SAM)转移到靶蛋白精氨酸残基的胍基氮原子上。该反应由大约10种蛋白质精氨酸甲基转移酶(PRMTs)催化。由于对多种细胞过程有影响,PRMTs的异常表达和活性在许多疾病状态中都有体现。特别是在肿瘤学领域,PRMTs在许多癌组织中通常过度表达,并且与肿瘤的起始、发展和进展呈正相关。因此,靶向PRMTs越来越被认为是一种有吸引力的新药研发治疗策略。在过去十年中,人们投入了大量研究精力来阐明PRMTs在疾病中的功能,并开发用于生物系统中PRMTs机制研究的化学探针。在这篇综述中,我们简要介绍了精氨酸甲基化的发展历程以及精氨酸甲基化研究的一些关键进展,特别强调了精氨酸甲基化的化学方面。我们重点介绍了为研究PRMTs功能以及精氨酸甲基化在调节生物学和疾病中的作用而开发和应用化学方法及化学工具的研究工作。

https://cdn.ncbi.nlm.nih.gov/pmc/blobs/9ccc/10467615/5055b171050d/d3cb00018d-f1.jpg

文献AI研究员

20分钟写一篇综述,助力文献阅读效率提升50倍。

立即体验

用中文搜PubMed

大模型驱动的PubMed中文搜索引擎

马上搜索

文档翻译

学术文献翻译模型,支持多种主流文档格式。

立即体验