Suppr超能文献

三脚架吡啶甲酸配体与镓(III)的无机化学及镓-68放射性标记

Inorganic Chemistry of the Tripodal Picolinate Ligand with Gallium(III) and Radiolabeling with Gallium-68.

作者信息

Price Thomas W, Wagner Laurène, Rosecker Veronika, Havlíčková Jana, Prior Timothy J, Kubíček Vojtěch, Hermann Petr, Stasiuk Graeme J

机构信息

Department of Imaging Chemistry and Biology, School of Biomedical Engineering and Imaging Sciences, King's College London, London SE1 7EH, United Kingdom.

Department of Inorganic Chemistry, Faculty of Science, Charles University, Hlavova 8, 128 40 Prague 2, Czech Republic.

出版信息

Inorg Chem. 2023 Dec 18;62(50):20769-20776. doi: 10.1021/acs.inorgchem.3c02459. Epub 2023 Oct 4.

Abstract

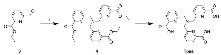
We report here the improved synthesis of the tripodal picolinate chelator , with an overall yield of 41% over five steps, in comparison to the previously reported 6% yield. was investigated for its coordination chemistry with Ga(III) and radiolabeling properties with gallium-68 (Ga). The obtained crystal structure for [Ga()] shows that the three picolinate arms coordinate to the Ga(III) ion, fully occupying the octahedral coordination geometry. This is supported by H NMR which shows that the three arms are symmetrical when coordinated to Ga(III). Assessment of the thermodynamic stability through potentiometry gives log = 21.32, with a single species being produced across the range of pH 3.5-7.5. achieved >99% radiochemical conversion with Ga under mild conditions ([] = 6.6 μM, pH 7.4, 37 °C) with a molar activity of 3.1 GBq μmol. The resulting complex, [Ga][Ga()], showed improved stability over the previously reported [Ga][Ga()(HO)] in a serum challenge, with 32% of [Ga][Ga()] remaining intact after 30 min of incubation with fetal bovine serum.

摘要

我们在此报告了三脚架型吡啶甲酸螯合剂合成方法的改进,与之前报道的6%产率相比,五步合成的总产率为41%。研究了其与Ga(III)的配位化学以及用镓 - 68(Ga)进行放射性标记的性质。所得到的[Ga()]晶体结构表明,三个吡啶甲酸臂与Ga(III)离子配位,完全占据八面体配位几何构型。这得到了核磁共振氢谱(H NMR)的支持,该谱表明与Ga(III)配位时三个臂是对称的。通过电位滴定法对热力学稳定性的评估得出log = 21.32,在pH 3.5 - 7.5范围内只产生单一物种。在温和条件下([] = 6.6 μM,pH 7.4,37 °C),用Ga实现了>99%的放射化学转化率,摩尔活度为3.1 GBq μmol。所得配合物[Ga][Ga()]在血清挑战实验中显示出比之前报道的[Ga][Ga()(HO)]更好的稳定性,与胎牛血清孵育30分钟后,[Ga][Ga()]有32%保持完整。

https://cdn.ncbi.nlm.nih.gov/pmc/blobs/9f87/10731648/59b31f5ceb90/ic3c02459_0001.jpg

文献AI研究员

20分钟写一篇综述,助力文献阅读效率提升50倍。

立即体验

用中文搜PubMed

大模型驱动的PubMed中文搜索引擎

马上搜索

文档翻译

学术文献翻译模型,支持多种主流文档格式。

立即体验