Suppr超能文献

具有聚苯胺修饰均质层的双层异质阳离子交换膜:制备及电迁移性质

Bilayer Heterogeneous Cation Exchange Membrane with Polyaniline Modified Homogeneous Layer: Preparation and Electrotransport Properties.

作者信息

Loza Natalia, Falina Irina, Kutenko Natalia, Shkirskaya Svetlana, Loza Julia, Kononenko Natalia

机构信息

Physical Chemistry Department, Faculty of Chemistry and High Technologies, Kuban State University, 350040 Krasnodar, Russia.

出版信息

Membranes (Basel). 2023 Oct 11;13(10):829. doi: 10.3390/membranes13100829.

Abstract

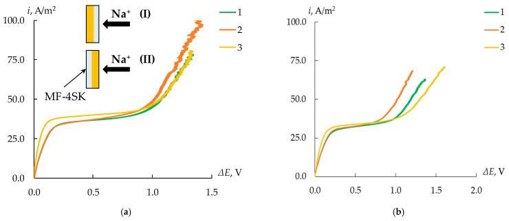
A bilayer membrane based on a heterogenous cation exchange membrane with a homogeneous cation exchange layer and a polyaniline on its surface is prepared. The intercalation of polyaniline into the membrane with a homogeneous cation exchange layer is performed by oxidative polymerization of aniline. The influence of the homogeneous cation exchange layer and the polyaniline on the structure, conductivity, diffusion permeability, selectivity, and current-voltage curve of the heterogeneous cation exchange membrane is established. Membrane properties are studied in the HCl, NaCl, and CaCl solutions. The homogeneous cation exchange layer has a negligible effect on the transport properties of the initial heterogeneous membrane. The polyaniline synthesis leads to a decrease in the macropore volume in the membrane structure, conductivity, and diffusion permeability. The counterion transport number in the bilayer membrane is significantly reduced in a solution of calcium chloride and practically does not change in sodium chloride and hydrochloric acid. In addition, the asymmetry of the diffusion permeability and shape of current-voltage curve depending on the orientation of the membrane surface to the flux of electrolyte or counterion are found.

摘要

制备了一种基于具有均匀阳离子交换层且表面带有聚苯胺的非均相阳离子交换膜的双层膜。通过苯胺的氧化聚合将聚苯胺插入具有均匀阳离子交换层的膜中。确定了均匀阳离子交换层和聚苯胺对非均相阳离子交换膜的结构、电导率、扩散渗透率、选择性和电流 - 电压曲线的影响。在HCl、NaCl和CaCl溶液中研究了膜的性能。均匀阳离子交换层对初始非均相膜的传输性能影响可忽略不计。聚苯胺的合成导致膜结构中的大孔体积、电导率和扩散渗透率降低。双层膜中抗衡离子迁移数在氯化钙溶液中显著降低,而在氯化钠和盐酸中实际上没有变化。此外,还发现了扩散渗透率的不对称性以及电流 - 电压曲线形状取决于膜表面相对于电解质或抗衡离子通量的取向。

https://cdn.ncbi.nlm.nih.gov/pmc/blobs/258f/10608705/bf2d38064dc0/membranes-13-00829-g0A1.jpg

文献AI研究员

20分钟写一篇综述,助力文献阅读效率提升50倍。

立即体验

用中文搜PubMed

大模型驱动的PubMed中文搜索引擎

马上搜索

文档翻译

学术文献翻译模型,支持多种主流文档格式。

立即体验