Suppr超能文献

有机-无机杂化钙钛矿型[NH(CH)NH]ZnCl晶体的晶体生长、结构、热性质及核磁共振研究

Processing on crystal growth, structure, thermal property, and nuclear magnetic resonance of organic-inorganic hybrid perovskite type [NH(CH)NH]ZnCl crystal.

作者信息

Lim Ae Ran, Kim Sun Ha

机构信息

Graduate School of Carbon Convergence Engineering, Jeonju University Jeonju 55069 Korea.

Department of Science Education, Jeonju University Jeonju 55069 Korea

出版信息

RSC Adv. 2023 Oct 26;13(44):31027-31035. doi: 10.1039/d3ra05752f. eCollection 2023 Oct 18.

Abstract

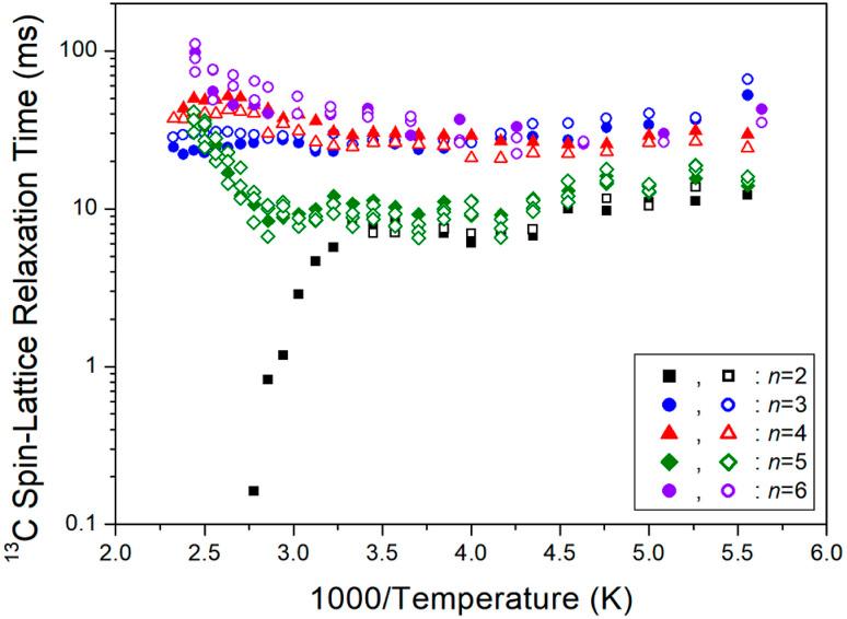
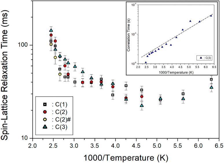
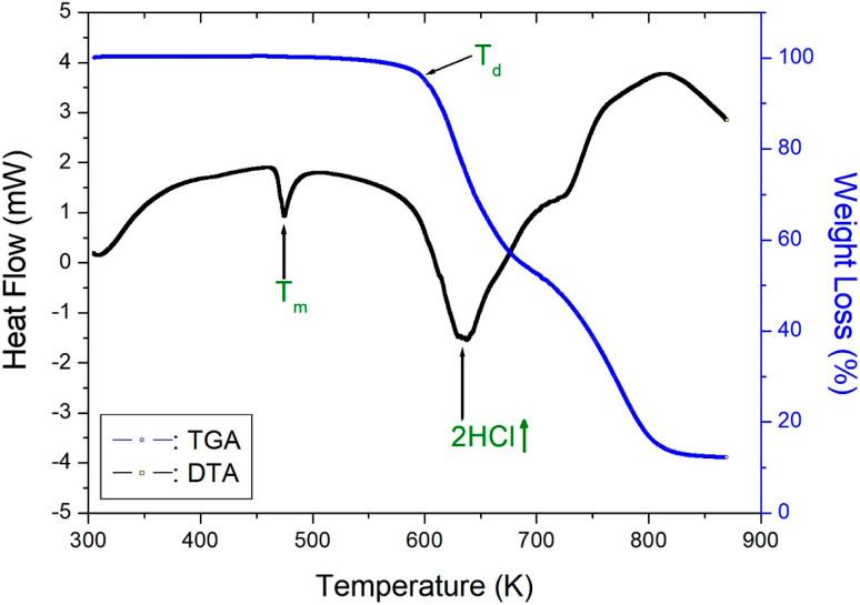
Organic-inorganic hybrid compounds have recently gained significant attention in recent years due to their diverse applications. Herein, [NH(CH)NH]ZnCl crystals were grown, and their triclinic structure, phase transition temperature ( = 408 K), and high thermal stability ( = 584 K) was determined using X-ray diffraction (XRD), differential scanning calorimetry, and thermogravimetry measurements. By analyzing the chemical in response to temperature changes, we observed that the coordination geometry around H and C were highly symmetric below , whereas their symmetry was lowered above . The change of N-H⋯Cl hydrogen bond from XRD results and the change of N NMR chemical shifts was due to the changes to the coordination geometry of Cl around Zn in the ZnCl anion. The activation energy of H was three times greater than that of C, and this result indicates that the energy transfer of C was easier than those of H. We compared the results for [NH(CH)NH]ZnCl ( = 6) studied here with those for = 2, 3, 4, and 5 obtained from previous studies. The characteristics of the length of CH in the methylene chain are expected to be used for potential applications in the near future.

摘要

近年来,有机-无机杂化化合物因其多样的应用而备受关注。在此,生长出了[NH(CH)NH]ZnCl晶体,并使用X射线衍射(XRD)、差示扫描量热法和热重法测量确定了它们的三斜结构、相变温度(= 408 K)和高热稳定性(= 584 K)。通过分析化学物质对温度变化的响应,我们观察到在以下温度下,H和C周围的配位几何结构高度对称,而在高于该温度时其对称性降低。XRD结果中N-H⋯Cl氢键的变化以及N NMR化学位移的变化是由于ZnCl阴离子中Cl围绕Zn的配位几何结构发生了变化。H的活化能是C的活化能的三倍,这一结果表明C的能量转移比H的能量转移更容易。我们将此处研究的[NH(CH)NH]ZnCl(= 6)的结果与先前研究中= 2、3、4和5的结果进行了比较。亚甲基链中CH长度的特征有望在不久的将来用于潜在应用。

https://cdn.ncbi.nlm.nih.gov/pmc/blobs/2c2c/10601597/778b9d59abb7/d3ra05752f-f1.jpg

文献AI研究员

20分钟写一篇综述,助力文献阅读效率提升50倍。

立即体验

用中文搜PubMed

大模型驱动的PubMed中文搜索引擎

马上搜索

文档翻译

学术文献翻译模型,支持多种主流文档格式。

立即体验