Suppr超能文献

尿苷对心房颤动的保护作用:一项孟德尔随机研究。

Protective effect of uridine on atrial fibrillation: a Mendelian randomisation study.

机构信息

Department of Cardiology, The Sixth Affiliated Hospital, Sun Yat-Sen University, 26 Yuancun Erheng Road, Guangzhou, 510655, Guangdong, People's Republic of China.

Biomedical Innovation Center, The Sixth Affiliated Hospital, Sun Yat-Sen University, Guangzhou, People's Republic of China.

出版信息

Sci Rep. 2023 Nov 10;13(1):19639. doi: 10.1038/s41598-023-47025-8.

Abstract

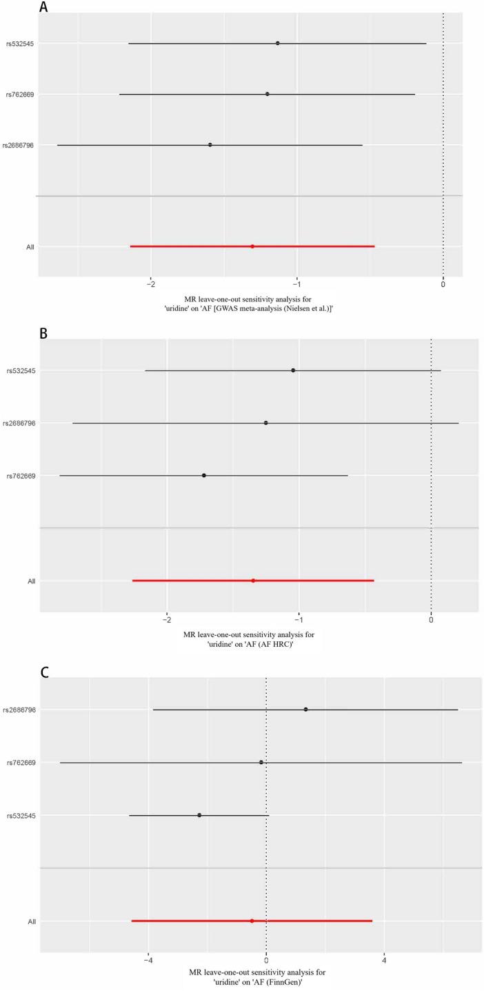
Uridine, a pyrimidine nucleoside, is crucial in the synthesis of metabolites. According to observational studies, a higher plasma uridine level is associated with a lower risk of atrial fibrillation (AF). However, the casual relationship between uridine and AF is still unknown. In this study, we used the Mendelian randomisation (MR) approach to explore causality. Three genetic variants associated with uridine were identified from the Metabolomics GWAS server (7824 participants); summary-level datasets associated with AF were acquired from a genome-wide association study (GWAS) meta-analysis with 1,030,836 European participants (60,620 AF cases). We duplicated the MR analyses using datasets from AF HRC studies and the FinnGen Consortium, and then conducted a meta-analysis which combined the main results. The risk of AF was significantly associated with the genetically determined plasma uridine level (odds ratio [OR] 0.27; 95% confidence interval [CI] 0.16, 0.47; p = 2.39 × 10). The association remained consistent in the meta-analysis of the various datasets (OR 0.27; 95% CI 0.17, 0.42; p = 1.34 × 10). In conclusion, the plasma uridine level is inversely associated with the risk of AF. Raising the plasma uridine level may have prophylactic potential against AF.

摘要

尿苷,一种嘧啶核苷,在代谢物的合成中至关重要。根据观察性研究,较高的血浆尿苷水平与心房颤动 (AF) 的风险降低相关。然而,尿苷与 AF 之间的因果关系尚不清楚。在这项研究中,我们使用孟德尔随机化 (MR) 方法来探索因果关系。从代谢组学 GWAS 服务器中确定了与尿苷相关的三个遗传变异体(7824 名参与者);从全基因组关联研究 (GWAS) 荟萃分析中获得了与 1030836 名欧洲参与者(60620 例 AF)相关的 AF 汇总水平数据集。我们使用 AF HRC 研究和 FinnGen 联盟的数据集重复了 MR 分析,然后进行了元分析,将主要结果结合在一起。AF 的风险与遗传决定的血浆尿苷水平显著相关(比值比 [OR] 0.27;95%置信区间 [CI] 0.16, 0.47;p=2.39×10)。在各种数据集的荟萃分析中,该关联仍然一致(OR 0.27;95%CI 0.17, 0.42;p=1.34×10)。总之,血浆尿苷水平与 AF 的风险呈负相关。提高血浆尿苷水平可能对 AF 具有预防潜力。

https://cdn.ncbi.nlm.nih.gov/pmc/blobs/f67d/10638443/e4b4622e0f9d/41598_2023_47025_Fig1_HTML.jpg

文献AI研究员

20分钟写一篇综述,助力文献阅读效率提升50倍。

立即体验

用中文搜PubMed

大模型驱动的PubMed中文搜索引擎

马上搜索

文档翻译

学术文献翻译模型,支持多种主流文档格式。

立即体验