Wang Suhui, Guo Tengxiao, Cao Shuya
State Key Laboratory of NBC Protection for Civilian, Beijing 102205, China.
ACS Omega. 2023 Nov 14;8(47):44804-44811. doi: 10.1021/acsomega.3c05910. eCollection 2023 Nov 28.
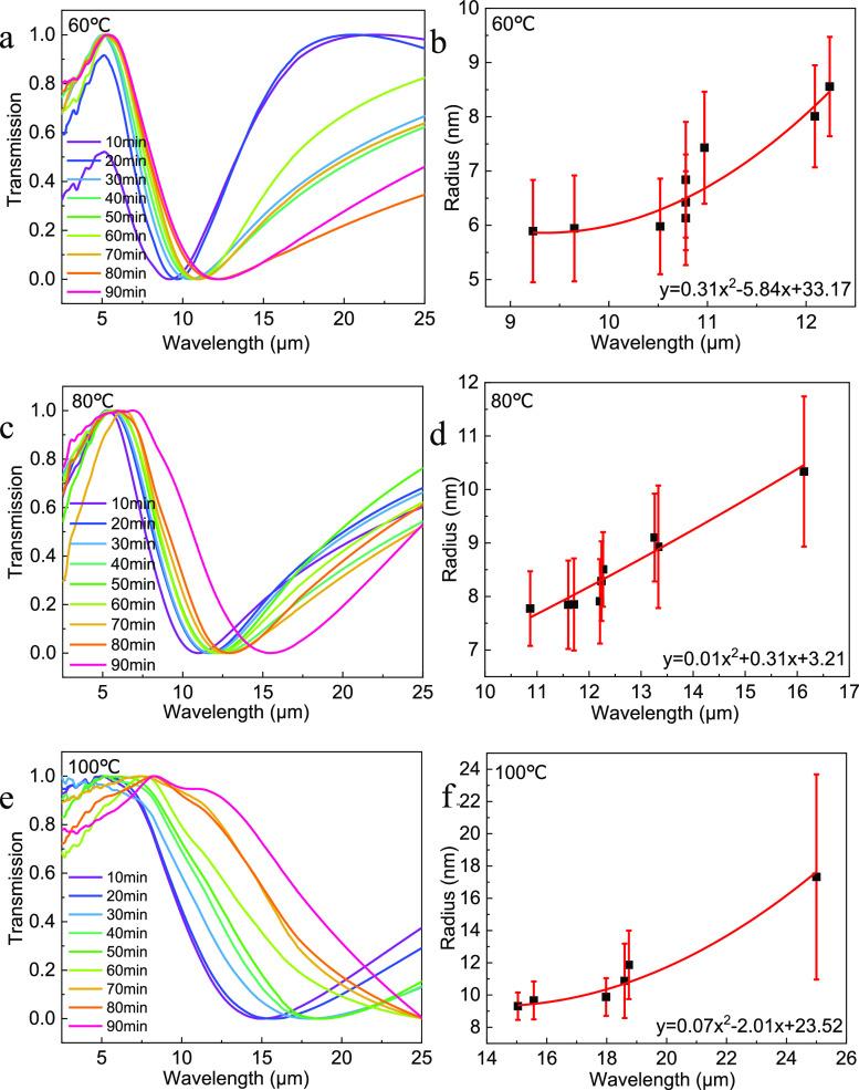
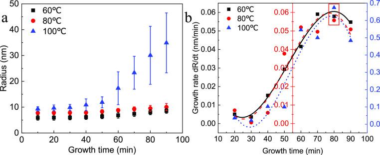
HgSe quantum dots (QDs) were synthesized by a thermal injection method. The effects of material ratio, growth time, and reaction temperature on the growth and spectral properties of the QDs have been studied. The experimental results show that the QDs had the highest yield of 53.04% when the molar ratio of Se source to Hg source was 1.5. Also, the excess source of SeS was reduced to Se. In addition, the critical radius and spectral red-shift rate of QDs can be increased with the reaction temperature. When the reaction temperature was increased to 100 °C, the spectrum reached far-infrared and the growth rate was increased to 10 times and reached 0.63 nm/min. Differing particle morphologies can be obtained by increasing the growth time to 40 min. Moreover, the growth rate reached the minimum at 30 min and the maximum at 80 min of the growth time. This study can provide guidance for the synthesis of long-wave infrared QD materials.
通过热注入法合成了HgSe量子点(QDs)。研究了材料比例、生长时间和反应温度对量子点生长和光谱特性的影响。实验结果表明,当硒源与汞源的摩尔比为1.5时,量子点的产率最高,为53.04%。此外,过量的SeS源被还原为Se。另外,量子点的临界半径和光谱红移率会随着反应温度的升高而增加。当反应温度升至100℃时,光谱达到远红外,生长速率提高到10倍,达到0.63nm/min。通过将生长时间增加到40分钟,可以获得不同的颗粒形态。此外,生长速率在生长时间30分钟时达到最小值,在80分钟时达到最大值。该研究可为长波红外量子点材料的合成提供指导。