Zhang Hui, Yan Zhun, Xie Fan, Tian Yanjun, Ai Lianzhong
Shanghai Engineering Research Center of Food Microbiology, School of Health Science and Engineering, University of Shanghai for Science and Technology, Shanghai 200093, China.
Polymers (Basel). 2023 Dec 2;15(23):4604. doi: 10.3390/polym15234604.
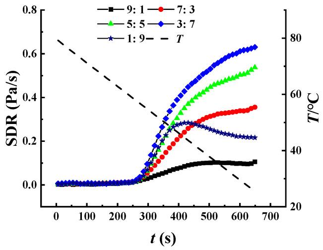
The synergistic interaction and gelling kinetics between xanthan gum (XG) and locust bean gum (LBG) at different mass ratios (XG/LBG 9:1, 7:3, 5:5, 3:7, 1:9) were investigated using a rheometer. The results showed that the mixtures of XG and LBG induced gel formation, and the strongest gel structure was found for the mixture of XG/LBG 3:7 according to the yield stress, storage modulus (G'), and power law parameters. Temperature ramp studies indicated that heating destroyed the gels at 5560 °C, while cooling induced the sol-gel transition at around 52 °C for all mixtures. Structure developing rate (SDR) curves showed that XG/LBG 3:7 exhibited the highest SDR during the cooling ramp among all the samples. Non-isothermal kinetic analysis demonstrated that the gelation process of XG/LBG mixtures during cooling included two steps: a high-temperature region (5539 °C) needing higher activation energy (, 111.97 to 199.20 kJ/mol for different mixtures) and a low-temperature region (39~20 °C) needing lower (74.33 to 85.31 kJ/mol), which indicated higher energy barriers to overcome at the initial stage of gel formation. The lowest of 74.33 kJ/mol was found for XG/LBG 3:7 in the low-temperature region. Scanning electron microscopy (SEM) showed that the gel of XG/LBG 3:7 presented the densest entanglements. These results indicated the strongest synergism interaction occurred in XG/LBG 3:7 to form gel network structures. This study will help promote the application of XG-LBG blends to design novel food structures.
使用流变仪研究了不同质量比(黄原胶/刺槐豆胶9:1、7:3、5:5、3:7、1:9)下黄原胶(XG)与刺槐豆胶(LBG)之间的协同相互作用和胶凝动力学。结果表明,XG和LBG的混合物可诱导凝胶形成,根据屈服应力、储能模量(G')和幂律参数,XG/LBG 3:7的混合物形成的凝胶结构最强。温度扫描研究表明,加热会在5560°C破坏凝胶,而冷却会使所有混合物在52°C左右发生溶胶-凝胶转变。结构发展速率(SDR)曲线表明,在所有样品中,XG/LBG 3:7在冷却过程中表现出最高的SDR。非等温动力学分析表明,XG/LBG混合物在冷却过程中的胶凝过程包括两个步骤:高温区域(5539°C)需要较高的活化能(不同混合物为111.97至199.20 kJ/mol)和低温区域(39~20°C)需要较低的活化能(74.33至85.31 kJ/mol),这表明在凝胶形成的初始阶段需要克服更高的能量障碍。在低温区域,XG/LBG 3:7的最低活化能为74.33 kJ/mol。扫描电子显微镜(SEM)显示,XG/LBG 3:7的凝胶呈现出最致密的缠结。这些结果表明,XG/LBG 3:7中发生了最强的协同相互作用以形成凝胶网络结构。本研究将有助于促进XG-LBG共混物在设计新型食品结构方面的应用。