Cedeño Mata Michelle, Orpella Albert, Dominguez-Pumar Manuel, Bermejo Sandra
MNT Group, Electronic Engineering Department, Polytechnic University of Catalonia (UPC), C/Jordi Girona 1-3, 08034 Barcelona, Spain.
Gels. 2024 Jan 10;10(1):50. doi: 10.3390/gels10010050.
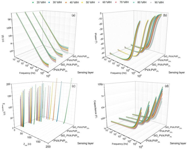
Enhancing sensitivity and hysteresis in capacitance humidity sensors is vital for precise, reliable, and consistent humidity control. This study explores this concern by incorporating polyvinylpyrrolidone (PVP) and SiO nanoparticles into a polyvinyl alcohol (PVA)-based ionic liquid gel polymer electrolyte (ILGPE), studying two capacitor types: ILGPE and SiO composite ILGPE (CILGPE) capacitors. These novel electrolytes use ammonium acetate as a plasticiser, 1-butyl-3-methylimidazolium bromide as an ionic liquid, SiO nanoparticles as a composite, and PVA and PVP as host polymers. Capacitors were characterised and modelled using impedance spectroscopy (IS), providing an electrophysical insight into their working principle. Sensitivity and hysteresis were evaluated within a 20-90% relative humidity (RH) range at 25 °C. The SiO CILGPE capacitor with PVP presented superior sensitivity and hysteresis, revealing the beneficial combination of SiO nanoparticles and PVP. These benefits are due to the creation of pathways that facilitate water molecule diffusion and crystallinity reduction in PVA-ILGPE. In particular, at 10 kHz, it demonstrates a calibrated capacitance sensitivity of 2660 pF/%RH and a hysteresis of 3.28 %RH. This optimised capacitor outperforms some previous humidity capacitive sensors in sensitivity while exhibiting low hysteresis.
提高电容式湿度传感器的灵敏度和滞后现象对于精确、可靠且一致的湿度控制至关重要。本研究通过将聚乙烯吡咯烷酮(PVP)和二氧化硅纳米颗粒掺入基于聚乙烯醇(PVA)的离子液体凝胶聚合物电解质(ILGPE)中来探讨这一问题,研究了两种电容器类型:ILGPE电容器和SiO复合ILGPE(CILGPE)电容器。这些新型电解质使用醋酸铵作为增塑剂,1-丁基-3-甲基咪唑溴盐作为离子液体,二氧化硅纳米颗粒作为复合材料,以及聚乙烯醇和聚乙烯吡咯烷酮作为主体聚合物。使用阻抗谱(IS)对电容器进行了表征和建模,从而对其工作原理有了电物理方面的了解。在25℃的20-90%相对湿度(RH)范围内评估了灵敏度和滞后现象。含有PVP的SiO CILGPE电容器表现出卓越的灵敏度和滞后现象,揭示了二氧化硅纳米颗粒和PVP的有益组合。这些益处归因于形成了有助于水分子扩散和降低PVA-ILGPE结晶度的路径。特别是在10kHz时,它表现出校准后的电容灵敏度为2660 pF/%RH,滞后现象为3.28 %RH。这种优化后的电容器在灵敏度方面优于一些先前的湿度电容式传感器,同时具有低滞后现象。