Suppr超能文献

利用载脂蛋白 A2 异构体开发用于早期检测胰腺癌的血液生物标志物的临床研究。

Clinical development of a blood biomarker using apolipoprotein-A2 isoforms for early detection of pancreatic cancer.

机构信息

Department of Bioregulation, Graduate School of Medicine, Nippon Medical School, 1-1-5 Sendagi, Bunkyo-Ku, Tokyo, 113-8602, Japan.

Institute for Advanced Medical Sciences, Nippon Medical School, 1-1-5 Sendagi, Bunkyo-Ku, Tokyo, 113-8602, Japan.

出版信息

J Gastroenterol. 2024 Mar;59(3):263-278. doi: 10.1007/s00535-023-02072-w. Epub 2024 Jan 23.

Abstract

BACKGROUND

We have previously reported apolipoprotein A2-isoforms (apoA2-is) as candidate plasma biomarkers for early-stage pancreatic cancer. The aim of this study was the clinical development of apoA2-is.

METHODS

We established a new enzyme-linked immunosorbent sandwich assay for apoA2-is under the Japanese medical device Quality Management System requirements and performed in vitro diagnostic tests with prespecified end points using 2732 plasma samples. The clinical equivalence and significance of apoA2-is were compared with CA19-9.

RESULTS

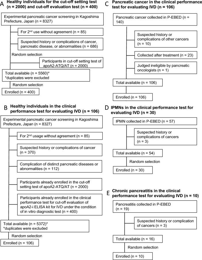
The point estimate of the area under the curve to distinguish between pancreatic cancer (n = 106) and healthy controls (n = 106) was higher for apoA2-ATQ/AT [0.879, 95% confidence interval (CI): 0.832-0.925] than for CA19-9 (0.849, 95% CI 0.793-0.905) and achieved the primary end point. The cutoff apoA2-ATQ/AT of 59.5 μg/mL was defined based on a specificity of 95% in 2000 healthy samples, and the reliability of specificities was confirmed in two independent healthy cohorts as 95.3% (n = 106, 95% CI 89.4-98.0%) and 95.8% (n = 400, 95% CI 93.3-97.3%). The sensitivities of apoA2-ATQ/AT for detecting both stage I (47.4%) and I/II (50%) pancreatic cancers were higher than those of CA19-9 (36.8% and 46.7%, respectively). The combination of apoA2-ATQ/AT (cutoff, 59.5 μg/mL) and CA19-9 (37 U/mL) increased the sensitivity for pancreatic cancer to 87.7% compared with 69.8% for CA19-9 alone. The clinical performance of apoA2-is was blindly confirmed by the National Cancer Institute Early Detection Research Network.

CONCLUSIONS

The clinical performance of ApoA2-ATQ/AT as a blood biomarker is equivalent to or better than that of CA19-9.

摘要

背景

我们之前曾报道载脂蛋白 A2 异构体(apoA2-is)是早期胰腺癌的候选血浆生物标志物。本研究旨在对 apoA2-is 进行临床开发。

方法

根据日本医疗器械质量管理体系的要求,我们建立了一种新的 apoA2-is 酶联免疫吸附检测试剂盒,并使用 2732 份血浆样本进行了规定的终点的体外诊断检测。比较了 apoA2-is 与 CA19-9 的临床等效性和意义。

结果

apoA2-ATQ/AT 区分胰腺癌(n=106)和健康对照组(n=106)的曲线下面积的点估计值高于 CA19-9 [0.879,95%置信区间(CI):0.832-0.925],达到了主要终点。根据 2000 例健康样本特异性为 95%的切点,定义 apoA2-ATQ/AT 的截断值为 59.5μg/ml,在两个独立的健康队列中特异性的可靠性分别为 95.3%(n=106,95%CI 89.4-98.0%)和 95.8%(n=400,95%CI 93.3-97.3%)。apoA2-ATQ/AT 检测 I 期(47.4%)和 I/II 期(50%)胰腺癌的敏感性均高于 CA19-9 [分别为 36.8%和 46.7%]。apoA2-ATQ/AT(截断值,59.5μg/ml)和 CA19-9(37 U/ml)联合检测可将胰腺癌的敏感性提高至 87.7%,而 CA19-9 单独检测的敏感性为 69.8%。国家癌症研究所早期检测研究网络对 apoA2-is 的临床性能进行了盲法确认。

结论

apoA2-ATQ/AT 作为血液生物标志物的临床性能与 CA19-9 相当或优于 CA19-9。

https://cdn.ncbi.nlm.nih.gov/pmc/blobs/bce8/10904523/3466b5013143/535_2023_2072_Fig1_HTML.jpg

文献AI研究员

20分钟写一篇综述,助力文献阅读效率提升50倍。

立即体验

用中文搜PubMed

大模型驱动的PubMed中文搜索引擎

马上搜索

文档翻译

学术文献翻译模型,支持多种主流文档格式。

立即体验