Suppr超能文献

印度注射吸毒人群中的 HIV、乙型肝炎和丙型肝炎:区域异质性的系统评价及阿片类药物替代治疗概述。

HIV, hepatitis B & C in people who inject drugs in India: A systematic review of regional heterogeneity & overview of opioid substitution treatment.

机构信息

Department of Psychiatry, Centre for Addiction Medicine, National Institute of Mental Health and Neurosciences, Bengaluru, Karnataka, India.

Schizophrenia Research Foundation (SCARF), Chennai, Tamil Nadu, India.

出版信息

Indian J Med Res. 2023 Nov 1;158(5&6):522-534. doi: 10.4103/ijmr.ijmr_1930_23. Epub 2024 Jan 24.

Abstract

BACKGROUND OBJECTIVES

This systematic review evaluates the human immunodeficiency virus (HIV), hepatitis C virus (HCV) and hepatitis B virus (HBV) burden among people who inject drugs (PWIDs) in India. In addition, we selectively examined research on opioid substitution treatment (OST)-related services due to their role in antiviral treatment uptake and adherence.

METHODS

Data were sourced from peer-reviewed and government publications between 1991 and September 20, 2023, searched in MEDLINE, Scopus and EBSCOhost. English language studies reporting weighted prevalence or raw numbers and recruitment sites were included for review. Quality was assessed using the Joanna Briggs Institute tool. Data synthesis was done in graphs and tables.

RESULTS

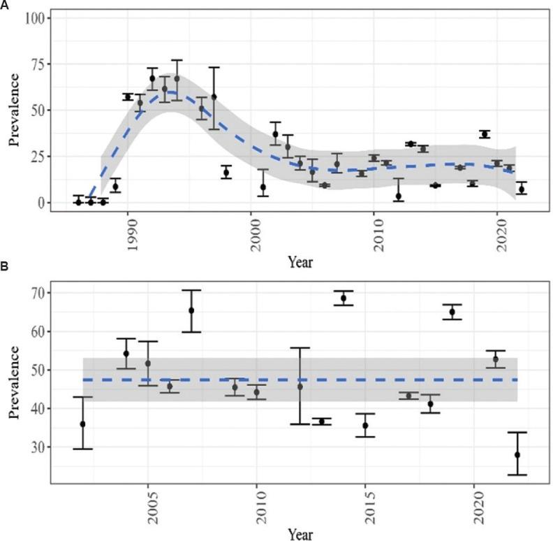
We included 50 reports, yielding 150 HIV, 68 HCV and 24 HBV prevalence estimates across India, revealing significant regional heterogeneity. Notably, 16 States had a single community-based HIV estimate, and 19 States had limited or no HCV data. The highest HIV and HCV prevalence was in Manipur (74.7% and 97.5%, respectively) in 1996. Recent spikes included 50.2 per cent HIV prevalence in Punjab (2010) and 73 per cent HCV in Uttar Pradesh (2021). Nationally, OST coverage in 2020 was under five per cent, with some northeast, north and central States exceeding this, but most others were falling below two per cent. No studies on the cost-effectiveness of directly observed treatment models for OST were identified.

INTERPRETATION CONCLUSIONS

There is a lack of sufficiently granular and generalizable estimates for HIV prevalence and any estimates for HCV and HBV among PWIDs in large parts of the country. Community-based representative studies are required to quantify the prevalence and severity of these diseases and allocate resources.

摘要

背景目的

本系统评价评估了印度注射吸毒者(PWID)中的人类免疫缺陷病毒(HIV)、丙型肝炎病毒(HCV)和乙型肝炎病毒(HBV)负担。此外,我们还选择性地研究了阿片类药物替代治疗(OST)相关服务的研究,因为它们在抗病毒治疗的接受和依从性方面发挥着作用。

方法

数据来源于 1991 年至 2023 年 9 月 20 日期间同行评审和政府出版物,在 MEDLINE、Scopus 和 EBSCOhost 中进行检索。纳入了报告加权流行率或原始数字且招募地点的英语语言研究进行审查。使用 Joanna Briggs 研究所工具评估质量。数据综合以图表和表格形式呈现。

结果

我们纳入了 50 份报告,涵盖了印度各地的 150 项 HIV、68 项 HCV 和 24 项 HBV 流行率估计,显示出显著的区域异质性。值得注意的是,16 个邦只有一项基于社区的 HIV 估计,19 个邦的 HCV 数据有限或不存在。HIV 和 HCV 流行率最高的是 1996 年的曼尼普尔邦(分别为 74.7%和 97.5%)。最近的高峰包括旁遮普邦 2010 年 HIV 流行率为 50.2%,北方邦 2021 年 HCV 流行率为 73%。2020 年,全国范围内 OST 覆盖率不足 5%,东北、北部和中部一些邦超过了这一水平,但其他大多数邦的覆盖率低于 2%。没有发现关于 OST 直接观察治疗模型成本效益的研究。

解释结论

该国大部分地区缺乏足够详细和可推广的 HIV 流行率估计以及任何 HCV 和 HBV 的估计。需要进行基于社区的代表性研究,以量化这些疾病的流行率和严重程度,并分配资源。

https://cdn.ncbi.nlm.nih.gov/pmc/blobs/90e0/10878493/be286973a829/IJMR-158-522-g001.jpg

文献AI研究员

20分钟写一篇综述,助力文献阅读效率提升50倍。

立即体验

用中文搜PubMed

大模型驱动的PubMed中文搜索引擎

马上搜索

文档翻译

学术文献翻译模型,支持多种主流文档格式。

立即体验