Suppr超能文献

通过非对称矢量孤子的静电波相互作用作为非麦克斯韦等离子体中 rogue 波形成的先兆。

Electrostatic wave interaction via asymmetric vector solitons as precursor to rogue wave formation in non-Maxwellian plasmas.

作者信息

Lazarides N, Veldes Giorgos P, Frantzeskakis D J, Kourakis Ioannis

机构信息

Department of Mathematics, Khalifa University of Science and Technology, P.O. Box 127788, Abu Dhabi, United Arab Emirates.

Department of Physics, University of Thessaly, 35100, Lamia, Greece.

出版信息

Sci Rep. 2024 Jan 25;14(1):2150. doi: 10.1038/s41598-024-52431-7.

Abstract

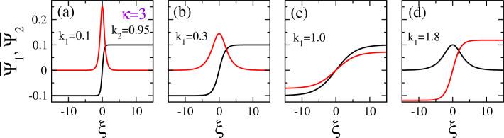
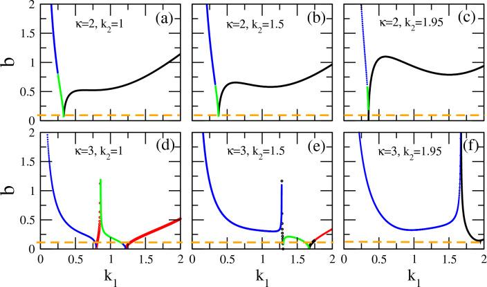
An asymmetric pair of coupled nonlinear Schrödinger (CNLS) equations has been derived through a multiscale perturbation method applied to a plasma fluid model, in which two wavepackets of distinct (carrier) wavenumbers ([Formula: see text] and [Formula: see text]) and amplitudes ([Formula: see text] and [Formula: see text]) are allowed to co-propagate and interact. The original fluid model was set up for a non-magnetized plasma consisting of cold inertial ions evolving against a [Formula: see text]-distributed electron background in one dimension. The reduction procedure resulting in the CNLS equations has provided analytical expressions for the dispersion, self-modulation and cross-coupling coefficients in terms of the two carrier wavenumbers. These coefficients present no symmetry whatsoever, in the general case (of different wavenumbers). The possibility for coupled envelope (vector soliton) solutions to occur has been investigated. Although the CNLS equations are asymmetric and non-integrable, in principle, the system admits various types of vector soliton solutions, physically representing nonlinear, localized electrostatic plasma modes, whose areas of existence is calculated on the wavenumbers' parameter plane. The possibility for either bright (B) or dark (D) type excitations for either of the (2) waves provides four (4) combinations for the envelope pair (BB, BD, DB, DD), if a set of explicit criteria is satisfied. Moreover, the soliton parameters (maximum amplitude, width) are also calculated for each type of vector soliton solution, in its respective area of existence. The dependence of the vector soliton characteristics on the (two) carrier wavenumbers and on the spectral index [Formula: see text] characterizing the electron distribution has been explored. In certain cases, the (envelope) amplitude of one component may exceed its counterpart (second amplitude) by a factor 2.5 or higher, indicating that extremely asymmetric waves may be formed due to modulational interactions among copropagating wavepackets. As [Formula: see text] decreases from large values, modulational instability occurs in larger areas of the parameter plane(s) and with higher growth rates. The distribution of different types of vector solitons on the parameter plane(s) also varies significantly with decreasing [Formula: see text], and in fact dramatically for [Formula: see text] between 3 and 2. Deviation from the Maxwell-Boltzmann picture therefore seems to favor modulational instability as a precursor to the formation of bright (predominantly) type envelope excitations and freak waves.

摘要

通过将多尺度微扰方法应用于等离子体流体模型,推导得到了一对非对称耦合非线性薛定谔(CNLS)方程。在该模型中,两个具有不同(载波)波数([公式:见原文]和[公式:见原文])和振幅([公式:见原文]和[公式:见原文])的波包能够共同传播并相互作用。原始流体模型是针对一维非磁化等离子体建立的,该等离子体由冷惯性离子组成,其在[公式:见原文]分布的电子背景下演化。得到CNLS方程的约化过程给出了色散、自调制和交叉耦合系数关于两个载波波数的解析表达式。在一般情况(不同波数)下,这些系数不存在任何对称性。研究了耦合包络(矢量孤子)解出现的可能性。尽管CNLS方程是非对称且不可积的,但原则上该系统允许各种类型的矢量孤子解,这些解在物理上表示非线性、局域化的静电等离子体模式,其存在区域在波数参数平面上计算得出。如果满足一组明确的标准,对于(两个)波中的任何一个波,亮(B)型或暗(D)型激发的可能性为包络对(BB、BD、DB、DD)提供了四种(4)组合。此外,还针对每种类型的矢量孤子解在其各自的存在区域计算了孤子参数(最大振幅、宽度)。研究了矢量孤子特性对(两个)载波波数以及表征电子分布的谱指数[公式:见原文]的依赖性。在某些情况下,一个分量的(包络)振幅可能比其对应分量(第二个振幅)大2.5倍或更高,这表明由于共同传播的波包之间的调制相互作用可能形成极其不对称的波。随着[公式:见原文]从大值减小,调制不稳定性在参数平面的更大区域出现,且增长率更高。不同类型矢量孤子在参数平面上的分布也随着[公式:见原文]的减小而显著变化,实际上对于[公式:见原文]在3到2之间时变化极大。因此,偏离麦克斯韦 - 玻尔兹曼图像似乎有利于调制不稳定性,将其作为亮(主要是)型包络激发和怪波形成的先兆。

https://cdn.ncbi.nlm.nih.gov/pmc/blobs/ddc1/10810890/4108851f4ac8/41598_2024_52431_Fig1_HTML.jpg

文献AI研究员

20分钟写一篇综述,助力文献阅读效率提升50倍。

立即体验

用中文搜PubMed

大模型驱动的PubMed中文搜索引擎

马上搜索

文档翻译

学术文献翻译模型,支持多种主流文档格式。

立即体验