Discipline of Psychology, Faculty of Health, University of Canberra, Canberra, Australian Capital Territory, Australia.
Centre for Ageing Research and Translation, Faculty of Health, University of Canberra, Canberra, Australian Capital Territory, Australia.
Hum Brain Mapp. 2024 Feb 1;45(2):e26612. doi: 10.1002/hbm.26612.
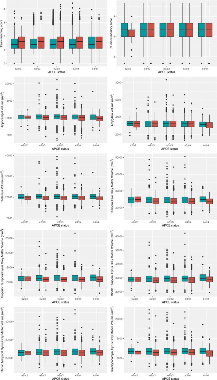
Global prevalence of Alzheimer's Disease has a strong sex bias, with women representing approximately two-thirds of the patients. Yet, the role of sex-specific risk factors during midlife, including hormone replacement therapy (HRT) and their interaction with other major risk factors for Alzheimer's Disease, such as apolipoprotein E (APOE)-e4 genotype and age, on brain health remains unclear. We investigated the relationship between HRT (i.e., use, age of initiation and duration of use) and brain health (i.e., cognition and regional brain volumes). We then consider the multiplicative effects of HRT and APOE status (i.e., e2/e2, e2/e3, e3/e3, e3/e4 and e4/e4) via a two-way interaction and subsequently age of participants via a three-way interaction. Women from the UK Biobank with no self-reported neurological conditions were included (N = 207,595 women, mean age = 56.25 years, standard deviation = 8.01 years). Generalised linear regression models were computed to quantify the cross-sectional association between HRT and brain health, while controlling for APOE status, age, time since attending centre for completing brain health measure, surgical menopause status, smoking history, body mass index, education, physical activity, alcohol use, ethnicity, socioeconomic status, vascular/heart problems and diabetes diagnosed by doctor. Analyses of structural brain regions further controlled for scanner site. All brain volumes were normalised for head size. Two-way interactions between HRT and APOE status were modelled, in addition to three-way interactions including age. Results showed that women with the e4/e4 genotype who have used HRT had 1.82% lower hippocampal, 2.4% lower parahippocampal and 1.24% lower thalamus volumes than those with the e3/e3 genotype who had never used HRT. However, this interaction was not detected for measures of cognition. No clinically meaningful three-way interaction between APOE, HRT and age was detected when interpreted relative to the scales of the cognitive measures used and normative models of ageing for brain volumes in this sample. Differences in hippocampal volume between women with the e4/e4 genotype who have used HRT and those with the e3/e3 genotype who had never used HRT are equivalent to approximately 1-2 years of hippocampal atrophy observed in typical health ageing trajectories in midlife (i.e., 0.98%-1.41% per year). Effect sizes were consistent within APOE e4/e4 group post hoc sensitivity analyses, suggesting observed effects were not solely driven by APOE status and may, in part, be attributed to HRT use. Although, the design of this study means we cannot exclude the possibility that women who have used HRT may have a predisposition for poorer brain health.
全球阿尔茨海默病的患病率存在明显的性别差异,女性患者约占三分之二。然而,中年时期特定的性别风险因素(包括激素替代疗法(HRT)及其与其他阿尔茨海默病主要风险因素的相互作用,如载脂蛋白 E(APOE)-e4 基因型和年龄)对大脑健康的影响仍不清楚。我们研究了 HRT(即使用、起始年龄和使用持续时间)与大脑健康(即认知和区域脑容量)之间的关系。然后,我们通过双向交互作用考虑了 HRT 和 APOE 状态(即 e2/e2、e2/e3、e3/e3、e3/e4 和 e4/e4)的乘积效应,随后通过三向交互作用考虑了参与者的年龄。纳入了英国生物银行中没有自述神经系统疾病的女性(N=207595 名女性,平均年龄 56.25 岁,标准差 8.01 岁)。计算了广义线性回归模型来量化 HRT 与大脑健康之间的横断面关联,同时控制了 APOE 状态、年龄、完成大脑健康测量的中心就诊时间、手术绝经状态、吸烟史、体重指数、教育、身体活动、饮酒量、种族、社会经济地位、医生诊断的血管/心脏问题和糖尿病。对结构脑区的分析进一步控制了扫描仪位置。所有脑容量均按头围进行归一化。除了包括年龄的三向交互作用外,还对 HRT 和 APOE 状态之间的双向交互作用进行了建模。结果表明,与从未使用过 HRT 的 e3/e3 基因型的女性相比,使用过 HRT 的 e4/e4 基因型的女性的海马体体积低 1.82%,海马旁回体积低 2.4%,丘脑体积低 1.24%。然而,在认知测量中并未检测到这种相互作用。当根据本样本中认知测量的量表和大脑体积的正常老化模型进行解释时,未检测到 APOE、HRT 和年龄之间具有临床意义的三向相互作用。在 HRT 使用者和未使用者中,e4/e4 基因型的女性与 e3/e3 基因型的女性之间的海马体体积差异相当于中年典型健康老化轨迹中观察到的 1-2 年的海马体萎缩(即每年 0.98%-1.41%)。事后敏感性分析显示,APOE e4/e4 组内的效应大小一致,表明观察到的效应不仅仅是由 APOE 状态驱动的,可能部分归因于 HRT 的使用。尽管如此,由于本研究的设计,我们不能排除使用 HRT 的女性可能存在大脑健康状况较差的倾向。