Tehami Maryam, Imam Hasan Tanvir, Abdullah Iskandar, Hosford Joseph, Wong Xiao Juie, Rahman Noorsaadah Abd, Wong Lu Shin
Manchester Institute of Biotechnology, University of Manchester, 131 Princess Street, M1 7DN Manchester, United Kingdom.
Department of Chemistry, University of Manchester, Oxford Road, M13 9PL Manchester, United Kingdom.
ACS Sustain Chem Eng. 2024 Feb 2;12(7):2678-2685. doi: 10.1021/acssuschemeng.3c06758. eCollection 2024 Feb 19.
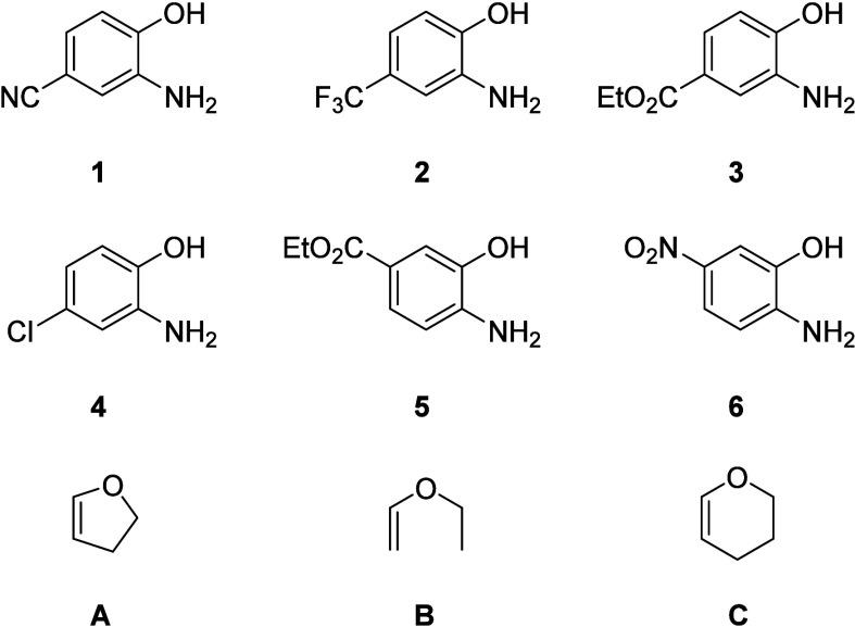
1,4-Benzoxazines are important motifs in many pharmaceuticals and can be formed by a reaction sequence involving the oxidation of -aminophenols to their corresponding quinone imine followed by an inverse electron demand Diels-Alder (IEDDA) cycloaddition with a suitable dienophile. Reported herein is the development of a reaction sequence that employs horseradish peroxidase to catalyze the oxidation of the aminophenols prior to the IEDDA as a more sustainable alternative to the use of conventional stoichiometric oxidants. The synthesis of 10 example benzoxazines is demonstrated in this "one-pot, two-step" procedure with yields between 42% and 92%. The green chemistry metrics, including the E-factor and generalized reaction mass efficiency, for this biocatalytic reaction were compared against the conventional chemical approach. It was found that the reported biocatalytic route was approximately twice as green by these measures.
1,4-苯并恶嗪是许多药物中的重要结构单元,可通过一系列反应形成,该反应序列包括将氨基酚氧化为相应的醌亚胺,然后与合适的亲双烯体进行逆电子需求狄尔斯-阿尔德(IEDDA)环加成反应。本文报道了一种反应序列的开发,该序列在IEDDA反应之前采用辣根过氧化物酶催化氨基酚的氧化反应,作为使用传统化学计量氧化剂的更可持续的替代方法。在这个“一锅两步”的过程中展示了10种示例苯并恶嗪的合成,产率在42%至92%之间。将该生物催化反应的绿色化学指标,包括E-因子和广义反应质量效率,与传统化学方法进行了比较。结果发现,通过这些指标衡量,所报道的生物催化路线的绿色程度约为传统化学方法的两倍。