Suppr超能文献

咖啡因口香糖可提高参加公园跑步活动的休闲跑者的 5 公里跑步成绩。

Caffeine gum improves 5 km running performance in recreational runners completing parkrun events.

机构信息

Food Group, Department of Service Sector Management, College of Business, Technology and Engineering, Sheffield Hallam University, Sheffield, S1 1WB, UK.

Advanced Wellbeing Research Centre, Olympic Legacy Park, 2 Old Hall Road, Sheffield, Sheffield, S9 3TU, UK.

出版信息

Eur J Nutr. 2024 Jun;63(4):1283-1291. doi: 10.1007/s00394-024-03349-3. Epub 2024 Feb 24.

Abstract

PURPOSE

The purpose of this study was to determine whether caffeine gum improves the performance of recreational runners completing parkruns (weekly, 5 km, mass participant running events).

METHODS

Thirty-six recreational runners (M = 31, F = 5; age 33.7 ± 10.7 y; BMI 23.1 ± 2.4 kg/m) capable of running 5 km in < 25 min were recruited to a study at the Sheffield Hallam parkrun, UK. Runners were block randomized into one of three double-blind, placebo-controlled, cross-over intervention trials with caffeine gum as the treatment (n = 6 per intervention trial) or into one of three non-intervention trials that ran concurrently with the intervention trials (n = 6 per non-intervention trial). Changes in conditions across different parkruns were adjusted for using data from the non-intervention trials. Runners in the randomized cross-over intervention trials chewed gum supplying 300 mg of caffeine or a placebo gum for 5 min, starting 30 min before each parkrun.

RESULTS

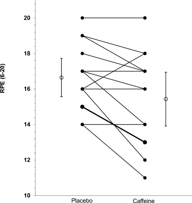
Caffeine gum improved 5 km parkrun performance by a mean of 17.28 s (95% CI 4.19, 30.37; P = 0.01). Adjustment for environmental conditions using data from the non-intervention trials attenuated the statistical significance (P = 0.04). Caffeine gum also decreased RPE by 1.21 (95% CI 0.30, 2.13; P = 0·01) units relative to placebo.

CONCLUSIONS

A 300 mg dose of caffeine supplied in chewing gum improved the performance of recreational runners completing 5 km parkruns by an average of 17 s.

TRIAL REGISTRATION

The study was registered at ClinicalTrials.gov: NCT02473575 before recruitment commenced.

摘要

目的

本研究旨在确定咖啡因口香糖是否能提高参加公园跑步活动(每周一次,5 公里,大众参与的跑步活动)的休闲跑者的表现。

方法

在英国谢菲尔德·哈勒姆公园跑步活动中,招募了 36 名有能力在 25 分钟内跑完 5 公里的休闲跑者(M=31,F=5;年龄 33.7±10.7 岁;BMI 23.1±2.4kg/m2)。跑者被随机分为三组,每组 6 人,采用双盲、安慰剂对照、交叉干预试验,用咖啡因口香糖作为治疗方法(每组 6 人),或分为三组,每组 6 人,同时进行非干预试验。使用非干预试验的数据对不同公园跑步活动中的条件变化进行了调整。随机交叉干预试验中的跑者在每次公园跑步前 30 分钟开始嚼含 300 毫克咖啡因的口香糖或安慰剂口香糖 5 分钟。

结果

咖啡因口香糖使 5 公里公园跑步成绩平均提高 17.28 秒(95%CI 4.19,30.37;P=0.01)。使用非干预试验的数据进行环境条件调整后,统计学意义减弱(P=0.04)。与安慰剂相比,咖啡因口香糖还使 RPE 降低了 1.21 个单位(95%CI 0.30,2.13;P=0.01)。

结论

300 毫克剂量的咖啡因口香糖可使参加 5 公里公园跑步的休闲跑者的成绩平均提高 17 秒。

试验注册

在招募开始前,该研究在 ClinicalTrials.gov 上注册:NCT02473575。

https://cdn.ncbi.nlm.nih.gov/pmc/blobs/80fb/11139716/59ae3145cbf9/394_2024_3349_Fig1_HTML.jpg

文献AI研究员

20分钟写一篇综述,助力文献阅读效率提升50倍。

立即体验

用中文搜PubMed

大模型驱动的PubMed中文搜索引擎

马上搜索

文档翻译

学术文献翻译模型,支持多种主流文档格式。

立即体验