Gastroenterology Department, "Sf. Apostol Andrei" Emergency County Hospital, 145 Tomis Blvd., 900591 Constanta, Romania.
Medicine Faculty, "Ovidius" University of Constanta, 1 Universitatii Street, 900470 Constanta, Romania.
Int J Mol Sci. 2024 Feb 20;25(5):2472. doi: 10.3390/ijms25052472.
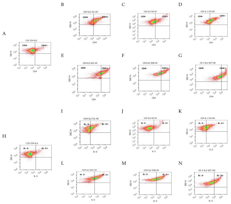
Our study highlighted the immune changes by pro-inflammatory biomarkers in the gut-liver-axis-linked ROS-cell death mechanisms in chronic and acute inflammations when gut cells are exposed to endotoxins in patients with hepatic cirrhosis or steatosis. In duodenal tissue samples, gut immune barrier dysfunction was analyzed by pro-inflammatory biomarker expressions, oxidative stress, and cell death by flow cytometry methods. A significant innate and adaptative immune system reaction was observed as result of persistent endotoxin action in gut cells in chronic inflammation tissue samples recovered from hepatic cirrhosis with the A-B child stage. Instead, in patients with C child stage of HC, the endotoxin tolerance was installed in cells, characterized by T lymphocyte silent activation and increased Th1 cytokines expression. Interesting mechanisms of ROS-cell death were observed in chronic and acute inflammation samples when gut cells were exposed to endotoxins and immune changes in the gut-liver axis. Late apoptosis represents the chronic response to injury induction by the gut immune barrier dysfunction, oxidative stress, and liver-dysregulated barrier. Meanwhile, necrosis represents an acute and severe reply to endotoxin action on gut cells when the immune system reacts to pro-inflammatory Th1 and Th2 cytokines releasing, offering protection against PAMPs/DAMPs by monocytes and T lymphocyte activation. Flow cytometric analysis of pro-inflammatory biomarkers linked to oxidative stress-cell death mechanisms shown in our study recommends laboratory techniques in diagnostic fields.
我们的研究强调了在慢性和急性炎症中,当肠道细胞暴露于肝硬化或脂肪变性患者的内毒素时,肠道-肝脏轴相关 ROS 细胞死亡机制中促炎生物标志物引起的免疫变化。通过流式细胞术方法分析十二指肠组织样本中促炎生物标志物表达、氧化应激和细胞死亡,以评估肠道免疫屏障功能障碍。在从肝硬化 A-B 期儿童阶段恢复的慢性炎症组织样本中,由于肠道细胞中内毒素的持续作用,观察到固有和适应性免疫系统的显著反应。相反,在肝硬化 C 期儿童患者中,细胞中安装了内毒素耐受,其特征是 T 淋巴细胞沉默激活和 Th1 细胞因子表达增加。当肠道细胞暴露于内毒素时,在慢性和急性炎症样本中观察到 ROS 细胞死亡的有趣机制,以及肠道-肝脏轴的免疫变化。晚期细胞凋亡代表肠道免疫屏障功能障碍、氧化应激和肝脏失调屏障引起的损伤诱导的慢性反应。同时,坏死代表了内毒素对肠道细胞作用的急性和严重反应,当免疫系统对促炎 Th1 和 Th2 细胞因子释放做出反应时,提供对 PAMPs/DAMPs 的保护,单核细胞和 T 淋巴细胞的激活。我们的研究中显示的与氧化应激-细胞死亡机制相关的促炎生物标志物的流式细胞术分析,为诊断领域的实验室技术提供了参考。