Suppr超能文献

添加Zr对TiVCrZr(x = 0、5、7和9)合金微观结构及氢化动力学的影响

Influence of Zr Addition on the Microstructure and Hydrogenation Kinetics of TiVCrZr (x = 0, 5, 7, and 9) Alloys.

作者信息

Zeng Qianying, Wang Feng, Li Zhengxi, Rong Maohua, Wang Jiang, Wang Zhongmin

机构信息

School of Materials Science and Engineering, Guilin University of Electronic Technology, Guilin 541000, China.

Guangxi Academy of Sciences, Nanning 530007, China.

出版信息

Materials (Basel). 2024 Mar 16;17(6):1366. doi: 10.3390/ma17061366.

Abstract

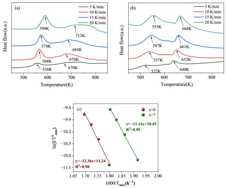
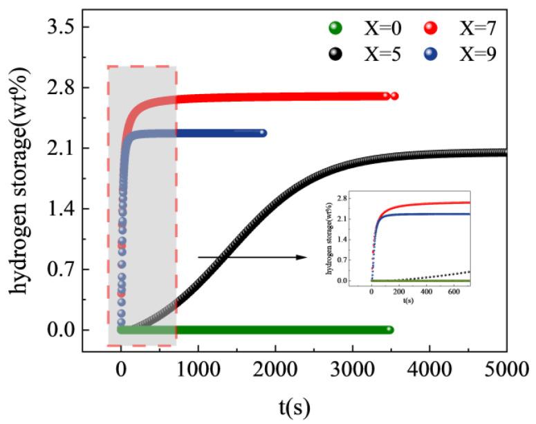
Due to the poor activation performance and kinetics of TiVCr alloys, the element Zr was added to improve the phase structure of the alloy and achieve a high-performance hydrogen storage alloy. The TiVCrZr (x = 0, 5, 7, and 9) system alloys were prepared by arc melting. The alloys were analyzed using an X-ray diffractometer (XRD), scanning electron microscope (SEM), and differential scanning calorimeter (DSC). The hydrogen storage capabilities of the alloys were also obtained by the Sievert volumetric method. The results indicated that the alloy with Zr added had a combination of the C15 Laves phase and the BCC phase, whereas the Zr-free alloy had a BCC single phase. The partial replacement of Zr with Ti resulted in an increase in the lattice parameters of the main phase. The hydrogen storage kinetic performance and activation of the alloys both significantly improved with an increasing Zr concentration. The time to reach 90% of the maximum hydrogen storage capacity decreased to 2946 s, 230 s, and 120 s, respectively, with the increases in Zr concentration. The initial hydrogen absorption content of the alloys increased and then decreased after the addition of the element Zr. The second phase expanded with an increasing Zr concentration, which in turn decreased the abundance of the BCC main phase. The TiVCrZr alloy showed good cycle stability and hydrogen-desorption performance, and it could absorb 90% of the maximum hydrogen storage capacity in around 230 s. The maximum hydrogen-absorption capacity of the alloy was 2.7 wt%. The diffusion activation energy of hydrogen desorption dropped from 102.67 kJ/mol to 92.62 kJ/mol.

摘要

由于TiVCr合金的活化性能和动力学较差,添加了元素Zr以改善合金的相结构并获得高性能储氢合金。通过电弧熔炼制备了TiVCrZr(x = 0、5、7和9)系合金。使用X射线衍射仪(XRD)、扫描电子显微镜(SEM)和差示扫描量热仪(DSC)对合金进行了分析。合金的储氢能力也通过Sievert容量法获得。结果表明,添加Zr的合金具有C15 Laves相和BCC相的组合,而无Zr合金具有BCC单相。用Ti部分替代Zr导致主相晶格参数增加。随着Zr浓度的增加,合金的储氢动力学性能和活化性能均显著提高。随着Zr浓度的增加,达到最大储氢容量90%的时间分别降至2946 s、230 s和120 s。添加元素Zr后,合金的初始吸氢量先增加后减少。第二相随着Zr浓度的增加而扩展,这反过来又降低了BCC主相的丰度。TiVCrZr合金表现出良好的循环稳定性和脱氢性能,并且可以在约230 s内吸收最大储氢容量的90%。合金的最大吸氢容量为2.7 wt%。氢脱附的扩散活化能从102.67 kJ/mol降至92.62 kJ/mol。

https://cdn.ncbi.nlm.nih.gov/pmc/blobs/7e76/10972261/2d431ba0a636/materials-17-01366-g001.jpg

文献AI研究员

20分钟写一篇综述,助力文献阅读效率提升50倍。

立即体验

用中文搜PubMed

大模型驱动的PubMed中文搜索引擎

马上搜索

文档翻译

学术文献翻译模型,支持多种主流文档格式。

立即体验