Suppr超能文献

通过平坦的电子-玻色子谱密度模拟的铜酸盐在赝能隙临界点的普朗克行为。

Planckian behavior of cuprates at the pseudogap critical point simulated via flat electron-boson spectral density.

作者信息

Park Hwiwoo, Park Jun H, Hwang Jungseek

机构信息

Department of Physics, Sungkyunkwan University, Suwon, Gyeonggi-do, 16419, Republic of Korea.

School of Mechanical Engineering, Sungkyunkwan University, Suwon, Gyeonggi-do, 16419, Republic of Korea.

出版信息

Heliyon. 2024 Mar 26;10(7):e28056. doi: 10.1016/j.heliyon.2024.e28056. eCollection 2024 Apr 15.

Abstract

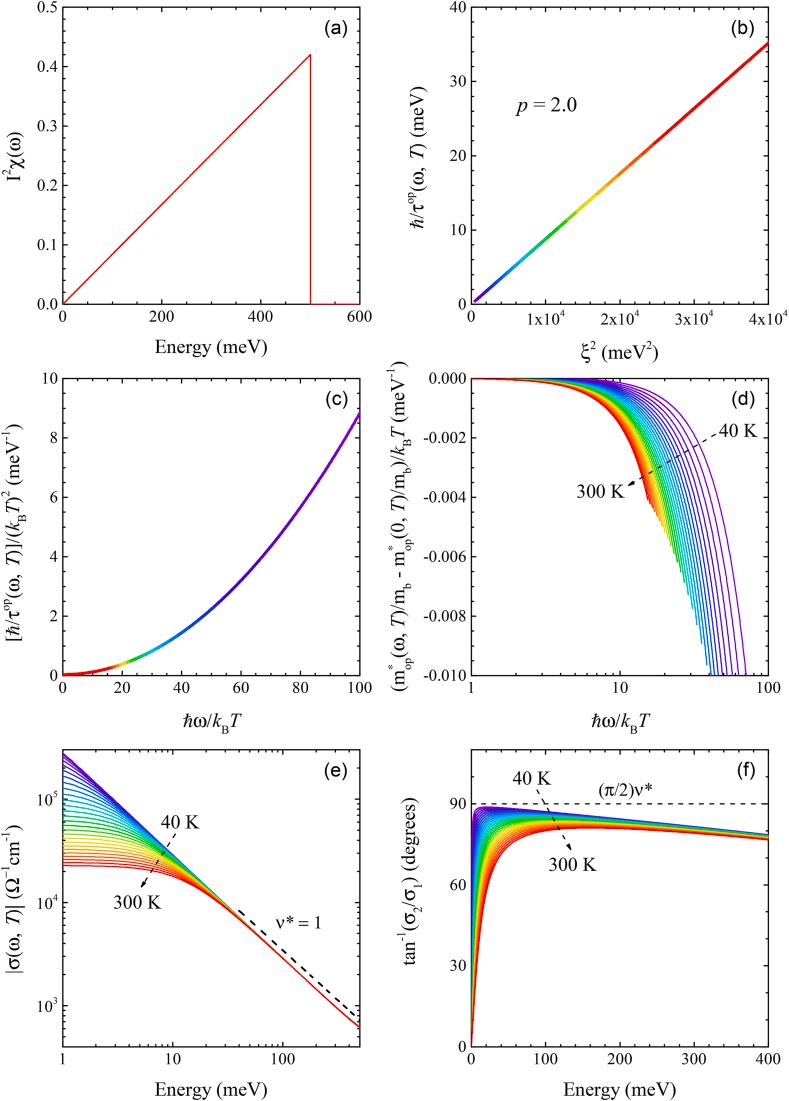
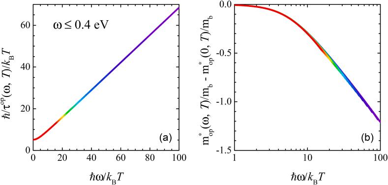
Planckian behavior has been recently observed in LaSrCuO at the pseudogap critical point. The Planckian behavior takes place in an intriguing quantum metallic state at a quantum critical point. Here, the Planckian behavior was simulated with an energy-independent (or flat) and weakly temperature-dependent electron-boson spectral density (EBSD) function by using a generalized Allen's (Shulga's) formula. We obtained various optical quantities from the flat EBSD function, such as the optical scattering rate, the optical effective mass, and the optical conductivity. These quantities are well fitted with the recently observed Planckian behavior. Fermi-liquid behavior was also simulated with an energy-linear and temperature-independent EBSD function. The EBSD functions agree well with the overall doping- and temperature-dependent trends of the EBSD function obtained from the optically measured spectra of cuprate systems, which can be crucial for understanding the microscopic electron-pairing mechanism for high- superconductivity in cuprates.

摘要

最近在LaSrCuO的赝能隙临界点观察到了普朗克行为。普朗克行为发生在量子临界点处一种有趣的量子金属态中。在此,通过使用广义艾伦(舒尔加)公式,用能量无关(或平坦)且温度依赖性较弱的电子 - 玻色子谱密度(EBSD)函数模拟了普朗克行为。我们从平坦的EBSD函数获得了各种光学量,如光学散射率、光学有效质量和光学电导率。这些量与最近观察到的普朗克行为拟合良好。还用能量线性且温度无关的EBSD函数模拟了费米液体行为。这些EBSD函数与从铜酸盐体系的光学测量光谱获得的EBSD函数的整体掺杂和温度依赖性趋势非常吻合,这对于理解铜酸盐中高温超导的微观电子配对机制可能至关重要。

https://cdn.ncbi.nlm.nih.gov/pmc/blobs/f815/10987911/802de7711c6d/gr1.jpg

文献AI研究员

20分钟写一篇综述,助力文献阅读效率提升50倍。

立即体验

用中文搜PubMed

大模型驱动的PubMed中文搜索引擎

马上搜索

文档翻译

学术文献翻译模型,支持多种主流文档格式。

立即体验