Service SAMU-Urgences, Centre Hospitalier Universitaire Édouard Herriot, Université Claude Bernard Lyon 1, 5 Place d'Arsonval, 69437, Lyon, France.
Department of Biostatistics and Public Health, Hospices Civils de Lyon, Université Claude Bernard Lyon 1, Lyon, France.
Scand J Trauma Resusc Emerg Med. 2024 Apr 12;32(1):27. doi: 10.1186/s13049-024-01201-5.
Shortness of breath is a common complaint among individuals contacting emergency communication center (EMCCs). In some prehospital system, emergency medical services include an advanced life support (ALS)-capable team. Whether such team should be dispatched during the phone call or delayed until the BLS-capable paramedic team reports from the scene is unclear. We aimed to evaluate the impact of delayed MMT dispatch until receiving the paramedic review compared to immediate dispatch at the time of the call on patient outcomes.
A cross-sectional study conducted in Lyon, France, using data obtained from the departmental EMCC during the period from January to December 2019. We included consecutive calls related to adult patients experiencing acute respiratory distress. Patients from the two groups (immediate mobile medical team (MMT) dispatch or delayed MMT dispatch) were matched on a propensity score, and a conditional weighted logistic regression assessed the adjusted odds ratios (ORs) for each outcome (mortality on days 0, 7 and 30).
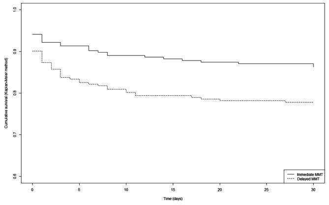
A total of 870 calls (median age 72 [57-84], male 466 53.6%) were sought for analysis [614 (70.6%) "immediate MMT dispatch" and 256 (29.4%) "delayed MMT" groups]. The median time before MMT dispatch was 25.1 min longer in the delayed MMT group (30.7 [26.4-36.1] vs. 5.6 [3.9-8.8] min, p < 0.001). Patients subjected to a delayed MMT intervention were older (median age 78 [66-87] vs. 69 [53-83], p < 0.001) and more frequently highly dependent (16.3% vs. 8.6%, p < 0.001). A higher proportion of patients in the delayed MMT group required bag valve mask ventilation (47.3% vs. 39.1%, p = 0.03), noninvasive ventilation (24.6% vs. 20.0%, p = 0.13), endotracheal intubation (7.0% vs. 4.1%, p = 0.07) and catecholamine infusion (3.9% vs. 1.3%, p = 0.01). After propensity score matching, mortality at day 0 was higher in the delayed MMT group (9.8% vs. 4.2%, p = 0.002). Immediate MMT dispatch at the call was associated with a lower risk of mortality on day 0 (0.60 [0.38;0.82], p < 0.001) day 7 (0.50 [0.27;0.72], p < 0.001) and day 30 (0.56 [0.35;0.78], p < 0.001) CONCLUSIONS: This study suggests that the deployment of an MMT at call in patients in acute respiratory distress may result in decreased short to medium-term mortality compared to a delayed MMT following initial first aid assessment.
呼吸急促是联系紧急通讯中心(EMCC)的个体的常见主诉。在一些院前系统中,紧急医疗服务包括一支有高级生命支持(ALS)能力的团队。是否应该在电话中派遣这样的团队,还是应该等到现场有基本生命支持(BLS)能力的护理人员小组报告后再派遣,目前尚不清楚。我们旨在评估与在电话中立即派遣相比,延迟派遣移动医疗团队(MMT)直到收到护理人员评估对患者结局的影响。
本研究是在法国里昂进行的一项横断面研究,使用了 2019 年 1 月至 12 月期间部门 EMCC 获得的数据。我们纳入了与经历急性呼吸窘迫的成年患者相关的连续呼叫。两组(立即派遣移动医疗团队(MMT)或延迟派遣 MMT)的患者在倾向评分上进行匹配,并使用条件加权逻辑回归评估了每个结局(第 0、7 和 30 天的死亡率)的调整后优势比(OR)。
共分析了 870 个呼叫(中位数年龄 72 [57-84],男性 466 例[53.6%])[立即 MMT 派遣组 614 例(70.6%)和延迟 MMT 派遣组 256 例(29.4%)]。延迟 MMT 组派遣 MMT 前的中位时间长 25.1 分钟(30.7 [26.4-36.1]与 5.6 [3.9-8.8]分钟,p < 0.001)。接受延迟 MMT 干预的患者年龄更大(中位数年龄 78 [66-87]与 69 [53-83],p < 0.001),且依赖性更高(16.3%与 8.6%,p < 0.001)。延迟 MMT 组中需要袋阀面罩通气的患者比例更高(47.3%与 39.1%,p = 0.03)、无创通气(24.6%与 20.0%,p = 0.13)、气管插管(7.0%与 4.1%,p = 0.07)和儿茶酚胺输注(3.9%与 1.3%,p = 0.01)。在进行倾向评分匹配后,延迟 MMT 组第 0 天的死亡率更高(9.8%与 4.2%,p = 0.002)。在呼叫时立即派遣 MMT 与第 0 天(0.60 [0.38;0.82],p < 0.001)、第 7 天(0.50 [0.27;0.72],p < 0.001)和第 30 天(0.56 [0.35;0.78],p < 0.001)的死亡率较低相关。
本研究表明,与初始急救评估后延迟派遣 MMT 相比,在急性呼吸窘迫患者呼叫时派遣 MMT 可能会降低短期至中期死亡率。