Suppr超能文献

亚临床甲状腺功能减退与作为心血管风险潜在标志物的颈动脉内膜中层厚度之间的关系:一项系统评价和荟萃分析。

The Relationship between Subclinical Hypothyroidism and Carotid Intima-Media Thickness as a Potential Marker of Cardiovascular Risk: A Systematic Review and a Meta-Analysis.

作者信息

Isailă Oana-Maria, Stoian Victor Eduard, Fulga Iuliu, Piraianu Alin-Ionut, Hostiuc Sorin

机构信息

Department of Legal Medicine and Bioethics, Faculty of Dentistry, "Carol Davila" University of Medicine and Pharmacy, 020021 Bucharest, Romania.

Department of Legal Medicine, Legal Medicine Service Dâmbovița, 130083 Târgoviște, Romania.

出版信息

J Cardiovasc Dev Dis. 2024 Mar 25;11(4):98. doi: 10.3390/jcdd11040098.

Abstract

BACKGROUND AND OBJECTIVES

Thyroid dysfunction is known to have significant consequences on the cardiovascular system. The correlation between carotid intima-media thickness (CIMT) and subclinical hypothyroidism (SCH) has been frequently evaluated in clinical studies in recent years. This study aimed to evaluate the significance of this association through a meta-analysis.

METHODS

We conducted a systematic search of PubMed, MedLine, Scopus, and Web of Science databases using the keywords 'subclinical hypothyroidism and carotid intima-media thickness', from the beginning of each database until January 2023. We established the inclusion and exclusion criteria and considered studies that met the inclusion criteria. We used Jamovi for statistical analysis of the data.

RESULTS

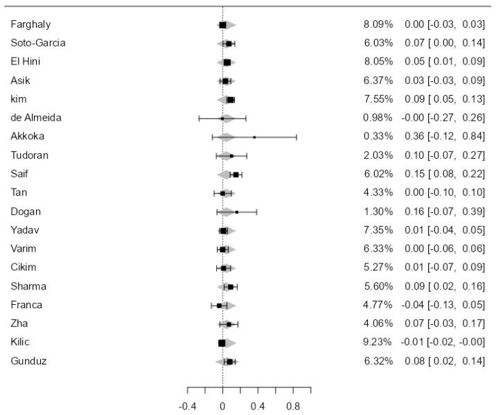
We identified 39 observational studies that met the inclusion criteria, with 3430 subjects: 1545 SCH and 1885 EU. Compared to euthyroid subjects (EU), subjects with subclinical hypothyroidism (SCH) had significantly increased carotid intima-media thickness (CIMT) values; the estimated average mean difference was 0.08 (95% CI 0.05 to 0.10), < 0.01, I = 93.82%. After the sensitivity analysis, a total of 19 from the 39 abovementioned studies were analyzed, with most studies showing a positive association between SCH and thickening of the carotid wall; the estimated average mean difference was 0.04 (95% CI 0.02 to 0.07), = 0.03, I = 77.7. In addition, female sex, advanced age, and high cholesterol levels statistically significantly influenced this association.

CONCLUSIONS

Our meta-analysis indicates a significant positive association between SCH and increased CIMT, but with some limitations.

摘要

背景与目的

已知甲状腺功能障碍会对心血管系统产生重大影响。近年来,临床研究中经常评估颈动脉内膜中层厚度(CIMT)与亚临床甲状腺功能减退(SCH)之间的相关性。本研究旨在通过荟萃分析评估这种关联的意义。

方法

我们使用关键词“亚临床甲状腺功能减退和颈动脉内膜中层厚度”,对PubMed、MedLine、Scopus和Web of Science数据库进行了系统检索,检索时间从每个数据库创建之初至2023年1月。我们制定了纳入和排除标准,并纳入了符合纳入标准的研究。我们使用Jamovi对数据进行统计分析。

结果

我们确定了39项符合纳入标准的观察性研究,共3430名受试者:1545名亚临床甲状腺功能减退患者和1885名甲状腺功能正常的受试者。与甲状腺功能正常的受试者相比,亚临床甲状腺功能减退患者的颈动脉内膜中层厚度(CIMT)值显著增加;估计平均差异为0.08(95%CI 0.05至0.10),P<0.01,I² = 93.82%。敏感性分析后,对上述39项研究中的19项进行了分析,大多数研究表明亚临床甲状腺功能减退与颈动脉壁增厚之间存在正相关;估计平均差异为0.04(95%CI 0.02至0.07),P = 0.03,I² = 77.7。此外,性别、年龄和高胆固醇水平在统计学上对这种关联有显著影响。

结论

我们的荟萃分析表明亚临床甲状腺功能减退与颈动脉内膜中层厚度增加之间存在显著正相关,但存在一些局限性。

https://cdn.ncbi.nlm.nih.gov/pmc/blobs/07ef/11049994/33e11dc0a8fb/jcdd-11-00098-g001.jpg

文献AI研究员

20分钟写一篇综述,助力文献阅读效率提升50倍。

立即体验

用中文搜PubMed

大模型驱动的PubMed中文搜索引擎

马上搜索

文档翻译

学术文献翻译模型,支持多种主流文档格式。

立即体验