Suppr超能文献

植物乳杆菌 CNCM I-4622 益生菌对蛋鸡产蛋性能及钙磷代谢的影响。

Supplemental effect of Pediococcus acidilactici CNCM I-4622 probiotic on the laying characteristics and calcium and phosphorus metabolism in laying hens.

机构信息

Department of Animal Resource and Science, Dankook University, Cheonan-si, Chungnam, 31116, South Korea.

Lallemand SAS, 19 rue des Briquetiers, 31702, Blagnac Cedex, France.

出版信息

Sci Rep. 2024 May 31;14(1):12489. doi: 10.1038/s41598-024-62779-5.

Abstract

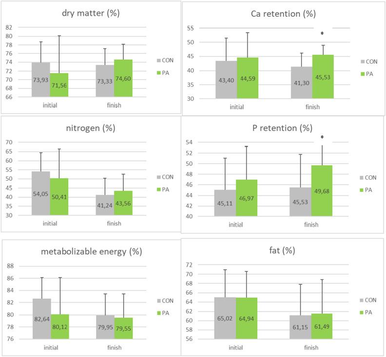
The close link between intestinal microbiota and bone health ('gut-bone' axis) has recently been revealed: the modulation of the amount and nature of bacteria present in the intestinal tract has an impact on bone health and calcium (Ca) metabolism. Probiotics are known to favorably impact the intestinal microbiota. The objective of this study was to investigate the effect of Pediococcus acidilactici CNCM I-4622 (PA) on laying performance, egg/eggshell quality, Ca metabolism and bone mineralization and resistance in relatively old layers (50 wks old at the beginning of the experiment) during 14 weeks. 480 Hy Line brown layers were divided into 2 groups (CON and PA: 3 layers/rep, 80 rep/group) and fed with a diet formulated to be suboptimal in calcium (Ca) and phosphorus (P) (- 10% of the requirements). The total egg weight was improved by 1.1% overall with PA, related to an improvement of the weight of marketable eggs (+ 0.9%). PA induced a decreased % of downgraded eggs, mainly broken eggs (- 0.4 pts) and FCR improvement (- 0.8% for all eggs, - 0.9% for marketable eggs). PA also led to higher Haugh units (HU: + 7.4%). PA tended to decrease crypt depth after the 14 weeks of supplementation period in the jejunum (- 25.2%) and ileum (- 17.6%). As a consequence, the VH/CD ratio appeared increased by PA at the end of the trial in the jejunum (+ 63.0%) and ileum (+ 48.0%). Ca and P retention were increased by 4 pts following PA supplementation, translating into increased bone hardness (+ 19%), bone cohesiveness (+ 43%) and bone Ca & P (+ 1 pt) for PA-supplemented layers. Blood Ca and P were respectively improved by 5% and 12% with PA. In addition, blood calcitriol and osteocalcin concentrations were respectively improved by + 83% and + 3% in PA group at the end of the trial, compared to CON group. There was no difference between the 2 groups for ALP (alkaline phosphatase) and PTH (parathyroid hormone). PA significantly decreased the expression of the following genes: occludin in the small intestine, calbindin 1 in the ovarian tissue and actin B in the bone. PA therefore improved zootechnical performance of these relatively old layers, and egg quality. The parallel increase in Ca and P in the blood and in the bone following PA supplementation suggests an improvement of the mineral supply for eggshell formation without impacting bone integrity, and even increasing bone resistance.

摘要

肠道微生物群与骨骼健康(“肠-骨”轴)之间的密切联系最近已经被揭示出来:调节肠道中细菌的数量和性质会影响骨骼健康和钙(Ca)代谢。益生菌被认为对肠道微生物群有有利的影响。本研究的目的是调查戊糖片球菌 CNCM I-4622(PA)对 50 周龄产蛋鸡(试验开始时)14 周内产蛋性能、蛋/蛋壳质量、Ca 代谢和骨矿化和骨强度的影响。将 480 只海兰褐产蛋鸡分为 2 组(CON 和 PA:3 个重复/组,每组 80 个重复),并饲喂钙(Ca)和磷(P)配方不足的日粮(-10%的需求)。PA 组的总蛋重总体提高了 1.1%,这与可销售蛋的重量增加(+0.9%)有关。PA 诱导降级蛋的百分比降低,主要是破碎蛋(-0.4 分)和饲料转化率改善(所有蛋的-0.8%,可销售蛋的-0.9%)。PA 还导致更高的哈格单位(HU:+7.4%)。PA 在补充 14 周后,在空肠(-25.2%)和回肠(-17.6%)中降低了隐窝深度。因此,在试验结束时,PA 使空肠(+63.0%)和回肠(+48.0%)中的 VH/CD 比值增加。PA 补充后,Ca 和 P 的保留分别增加了 4 个点,导致骨硬度增加(+19%),骨粘合力增加(+43%),骨 Ca 和 P 增加(+1 点)。PA 组的血钙和血磷分别提高了 5%和 12%。此外,与 CON 组相比,PA 组在试验结束时,血中 1,25-二羟维生素 D3(calcitriol)和骨钙素的浓度分别提高了 83%和 3%。两组的碱性磷酸酶(ALP)和甲状旁腺激素(PTH)均无差异。PA 显著降低了小肠中的 occludin、卵巢组织中的 calbindin 1 和骨骼中的肌动蛋白 B 的表达。PA 因此改善了这些相对较老产蛋鸡的生产性能和蛋品质。PA 补充后,血液和骨骼中 Ca 和 P 的平行增加表明,在不影响骨完整性的情况下,改善了蛋壳形成的矿物质供应,甚至增加了骨强度。

https://cdn.ncbi.nlm.nih.gov/pmc/blobs/a82a/11143341/3630d2988f30/41598_2024_62779_Fig1_HTML.jpg

文献AI研究员

20分钟写一篇综述,助力文献阅读效率提升50倍。

立即体验

用中文搜PubMed

大模型驱动的PubMed中文搜索引擎

马上搜索

文档翻译

学术文献翻译模型,支持多种主流文档格式。

立即体验