Suppr超能文献

A comparative study of brine solutions as completion fluids for oil and gas fields.

作者信息

Kazemihokmabad Parsa, Khamehchi Ehsan, Mahdavi Kalatehno Javad, Ebadi Reza

机构信息

Department of Petroleum Engineering, Amirkabir University of Technology, Tehran, Iran.

出版信息

Sci Rep. 2024 Jun 1;14(1):12628. doi: 10.1038/s41598-024-63303-5.

Abstract

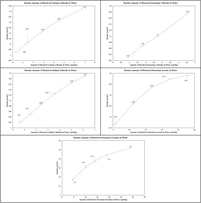
Completion fluids play a vital role in well-related processes within the oil extraction industry. This article presents a comprehensive study of the properties and performance of various brine solutions as completion fluids for different well and reservoir conditions. Attributes examined include density, corrosion resistance, temperature stability, compatibility with formation fluids, clay swelling potential and influence on wettability. The research highlights the significance of selecting appropriate completion fluids to optimize well and reservoir operations. Zinc chloride emerges as an excellent option for high density applications, while sodium chloride and potassium formate solutions are ideal for extreme cold conditions. Potassium acetate outperforms calcium chloride and potassium chloride and has excellent pH stability. The compatibility of completion fluids with formation water has been observed to be excellent, with no sedimentation or emulsion formation. Potassium acetate also experiences minimal clay swelling, making it suitable for clay-rich formations. On the other hand, calcium chloride has a higher clay swelling than most of the brines tested, making it less suitable for sandstone formations with a higher clay content than these brines. The research evaluates the water-wetting abilities of completion fluids in carbonate and sandstone formations. Potassium chloride and zinc chloride have the most significant impact in carbonate formations, while potassium acetate and potassium formate excel in sandstone formations. This study provides a comprehensive understanding of completion fluids, facilitating informed decisions that maximize operational efficiency, protect reservoir integrity, and enhance hydrocarbon recovery. The appropriate selection of completion fluids should align with specific well and reservoir conditions, considering the priorities of the application.

摘要
https://cdn.ncbi.nlm.nih.gov/pmc/blobs/2c51/11144231/9cd3b2e7be41/41598_2024_63303_Fig1_HTML.jpg

文献AI研究员

20分钟写一篇综述,助力文献阅读效率提升50倍。

立即体验

用中文搜PubMed

大模型驱动的PubMed中文搜索引擎

马上搜索

文档翻译

学术文献翻译模型,支持多种主流文档格式。

立即体验