Suppr超能文献

关于预形成维生素A和β-胡萝卜素可耐受最高摄入量的科学意见。

Scientific opinion on the tolerable upper intake level for preformed vitamin A and β-carotene.

作者信息

Turck Dominique, Bohn Torsten, Castenmiller Jacqueline, de Henauw Stefaan, Hirsch-Ernst Karen-Ildico, Knutsen Helle Katrine, Maciuk Alexandre, Mangelsdorf Inge, McArdle Harry J, Pentieva Kristina, Siani Alfonso, Thies Frank, Tsabouri Sophia, Vinceti Marco, Lietz Georg, Passeri Giovanni, Craciun Ionut, Fabiani Lucia, Horvath Zsuzsanna, Valtueña Martínez Silvia, Naska Androniki

出版信息

EFSA J. 2024 Jun 6;22(6):e8814. doi: 10.2903/j.efsa.2024.8814. eCollection 2024 Jun.

Abstract

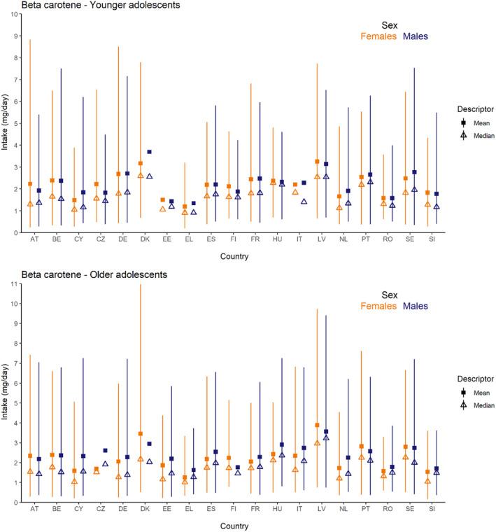
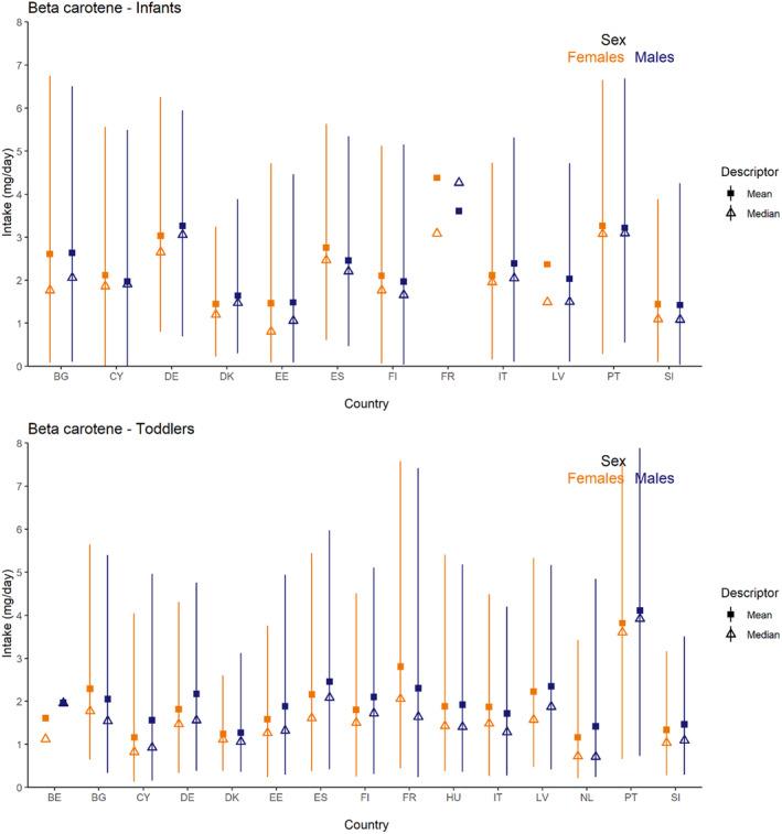
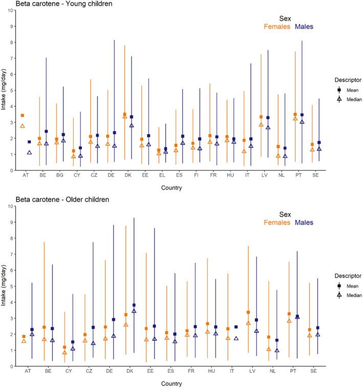
Following two requests from the European Commission, the EFSA Panel on Nutrition, Novel Foods and Food Allergens (NDA) was asked to deliver a scientific opinion on the revision of the tolerable upper intake level (UL) for preformed vitamin A and β-carotene. Systematic reviews of the literature were conducted for priority adverse health effects of excess vitamin A intake, namely teratogenicity, hepatotoxicity and endpoints related to bone health. Available data did not allow to address whether β-carotene could potentiate preformed vitamin A toxicity. Teratogenicity was selected as the critical effect on which to base the UL for preformed vitamin A. The Panel proposes to retain the UL for preformed vitamin A of 3000 μg RE/day for adults. This UL applies to men and women, including women of child-bearing age, pregnant and lactating women and post-menopausal women. This value was scaled down to other population groups using allometric scaling (body weight), leading to ULs between 600 μg RE/day (infants 4-11 months) and 2600 μg RE/day (adolescents 15-17 years). Based on available intake data, European populations are unlikely to exceed the UL for preformed vitamin A if consumption of liver, offal and products thereof is limited to once per month or less. Women who are planning to become pregnant or who are pregnant are advised not to consume liver products. Lung cancer risk was selected as the critical effect of excess supplemental β-carotene. The available data were not sufficient and suitable to characterise a dose-response relationship and identify a reference point; therefore, no UL could be established. There is no indication that β-carotene intake from the background diet is associated with adverse health effects. Smokers should avoid consuming food supplements containing β-carotene. The use of supplemental β-carotene by the general population should be limited to the purpose of meeting vitamin A requirements.

摘要

应欧盟委员会的两项请求,欧洲食品安全局营养、新型食品和食品过敏原专家委员会(NDA)被要求就预制维生素A和β-胡萝卜素的可耐受最高摄入量(UL)修订提供科学意见。针对过量摄入维生素A的主要不良健康影响,即致畸性、肝毒性以及与骨骼健康相关的终点,开展了文献系统评价。现有数据无法确定β-胡萝卜素是否会增强预制维生素A的毒性。致畸性被选为确定预制维生素A的UL所依据的关键效应。专家委员会建议将成年人预制维生素A的UL维持在3000 μg视黄醇当量/天。该UL适用于男性和女性,包括育龄妇女、孕妇、哺乳期妇女和绝经后妇女。利用异速生长标度法(体重)将该值换算至其他人群组,得出的UL在600 μg视黄醇当量/天(4至11个月婴儿)至2600 μg视黄醇当量/天(15至17岁青少年)之间。根据现有摄入量数据,如果肝脏、内脏及其制品的摄入量限制在每月一次或更少,欧洲人群不太可能超过预制维生素A的UL。建议计划怀孕或已怀孕的妇女不要食用肝脏制品。肺癌风险被选为过量补充β-胡萝卜素的关键效应。现有数据不足以表征剂量-反应关系并确定参考点;因此,无法确定UL。没有迹象表明从背景饮食中摄入β-胡萝卜素会对健康产生不良影响。吸烟者应避免食用含β-胡萝卜素的食品补充剂。一般人群使用β-胡萝卜素补充剂应仅限于满足维生素A需求的目的。

https://cdn.ncbi.nlm.nih.gov/pmc/blobs/bb9c/11154838/2115636111ce/EFS2-22-e8814-g009.jpg

文献AI研究员

20分钟写一篇综述,助力文献阅读效率提升50倍。

立即体验

用中文搜PubMed

大模型驱动的PubMed中文搜索引擎

马上搜索

文档翻译

学术文献翻译模型,支持多种主流文档格式。

立即体验