Narimisa Negar, Razavi Shabnam, Masjedian Jazi Faramarz
Department of Microbiology, School of Medicine, Iran University of Medical Sciences, Tehran, Iran.
Front Vet Sci. 2024 May 27;11:1388790. doi: 10.3389/fvets.2024.1388790. eCollection 2024.
Antibiotic resistance in represents a significant global public health concern. Among various serovars, enterica serovar Typhimurium is prevalent in multiple countries. This study aims to conduct a systematic review and meta-analysis to evaluate the pattern of antibiotic resistance in . Typhimurium isolates from diverse sources in Iran.
We conducted a comprehensive and systematic search for relevant articles until December 2023 in the following databases: PubMed, Scopus, Web of Science, and SID. The collected data were analyzed using Stata software version 17.
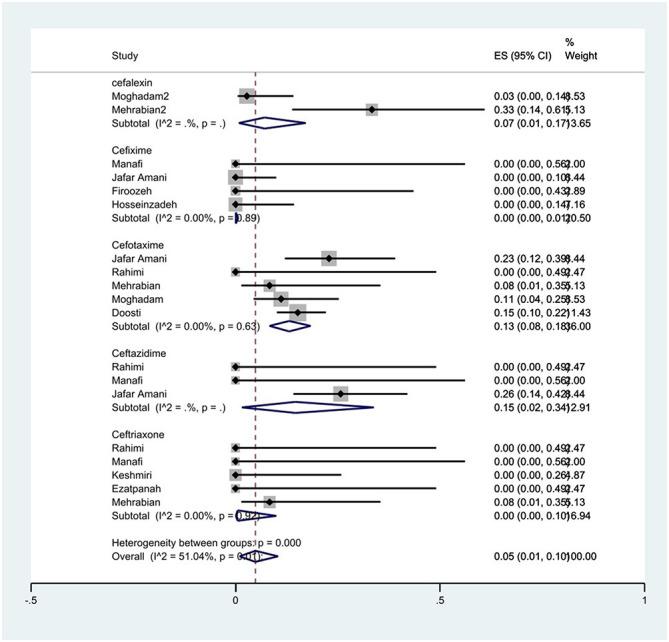
Eighteen studies examined the pattern of antibiotic resistance in . Typhimurium for various antibiotics in Iran. Piperacillin and tetracycline exhibited the highest resistance rates, at 79 and 60% respectively, while cefixime and ceftriaxone had the lowest resistance rates at 0%.
Our findings indicate a high level of antibiotic resistance among the studied antibiotics. This high level of antibiotic resistance raises concerns and underscores the necessity for monitoring the use of antibiotics. Moreover, resistance to these antibiotics was more prevalent in samples isolated from animals compared to other sources. This highlights the importance of animal screening to detect the presence of drug-resistant isolates, with the ultimate goal of reducing antibiotic resistance and preventing the transmission of resistant strains to humans.
[细菌名称]中的抗生素耐药性是一个重大的全球公共卫生问题。在各种血清型中,肠炎沙门氏菌鼠伤寒血清型在多个国家普遍存在。本研究旨在进行系统评价和荟萃分析,以评估伊朗不同来源的鼠伤寒血清型[细菌名称]分离株的抗生素耐药模式。
我们在以下数据库中进行了全面系统的搜索,直至2023年12月:PubMed、Scopus、科学网和伊朗科学信息数据库。使用Stata软件版本17对收集的数据进行分析。
18项研究调查了伊朗鼠伤寒血清型[细菌名称]对各种抗生素的耐药模式。哌拉西林和四环素的耐药率最高,分别为79%和60%,而头孢克肟和头孢曲松的耐药率最低,为0%。
我们的研究结果表明,在所研究的抗生素中存在高水平的抗生素耐药性。这种高水平的抗生素耐药性令人担忧,并强调了监测抗生素使用的必要性。此外,与其他来源相比,从动物分离的样本中对这些抗生素的耐药性更为普遍。这突出了动物筛查以检测耐药菌株存在的重要性,最终目标是降低抗生素耐药性并防止耐药菌株传播给人类。