Suppr超能文献

冠心病风险的一个可能被低估的预测指标:载脂蛋白B/载脂蛋白A1比值。

A potentially underestimated predictor of coronary artery disease risk: The ApoB/ApoA1 ratio.

作者信息

Li Bo, Zhao Xu, Ding Yan, Zhang Yi

机构信息

Department of Endocrinology, Quanzhou First Hospital Affiliated to Fujian Medical University, Quanzhou, 362000, Fujian, China.

Hubei Key Laboratory of Embryonic Stem Cell Research, Biomedical Research Institute, Hubei University of Medicine, Shiyan, 442000, Hubei, China.

出版信息

Heliyon. 2024 May 31;10(11):e32084. doi: 10.1016/j.heliyon.2024.e32084. eCollection 2024 Jun 15.

Abstract

BACKGROUND

Cardiovascular disease (CVD) is the leading cause of death worldwide, and statin therapy is the cornerstone of atherosclerotic cardiovascular disease. However, clinical practice is unsatisfactory, and there is significant interest in the risk of residual cardiovascular events. Traditional study methods make it difficult to exclude the crosstalk of confounding factors, and we investigated the impact of the ApoB/ApoA1 ratio on CVD using two-sample Mendelian randomization (MR) and multivariate Mendelian randomization (MVMR) methods.

METHODS

Two-sample MR and MVMR analyses were performed using pooled statistics from genome-wide association studies (GWAS) of ApoB/ApoA1 ratio (BAR), lipoprotein (a) (Lp(a)), and triglyceride (TG) in Europeans to assess the causal relationship between BAR, Lp(a), and TG with coronary artery disease (CAD).

RESULTS

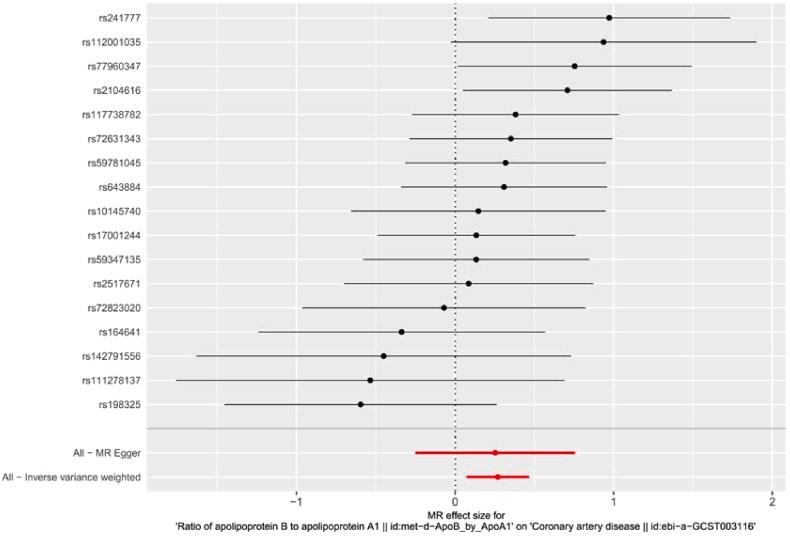
The genetic prediction of BAR was significantly correlated with CAD (Inverse variance weighted (IVW) beta = 0.255; OR = 1.291; 95 % CI = 1.061-1.571; P = 0.011) in a two-sample MR analysis. MVMR studies showed that BAR (beta = 0.373; OR = 1.452; 95 % CI = 1.305-1.615; P = 7.217e-12), Lp (a) (beta = 0.238; OR = 1.269; 95 % CI = 1.216-1.323; P = 2.990e-28), and TG (beta = 0.155; OR = 1.168; 95 % CI = 1.074-1.270; P = 2.829e-04) were significantly associated with CAD. After further colinearity analyses of LASSO regressions, the results of multivariate analyses were similar for IVW, MR-Egger, MR-Lasso, and median methods.

CONCLUSION

BAR is causally related to coronary artery disease. BAR is an independent predictor of CAD risk, independent of routine lipid measurements and other risk factors. TG and Lp(a) may be causally related to CAD, subject to verification in clinical practice.

摘要

背景

心血管疾病(CVD)是全球主要死因,他汀类药物治疗是动脉粥样硬化性心血管疾病的基石。然而,临床实践并不理想,人们对残余心血管事件的风险极为关注。传统研究方法难以排除混杂因素的干扰,我们采用两样本孟德尔随机化(MR)和多变量孟德尔随机化(MVMR)方法研究了载脂蛋白B/载脂蛋白A1比值对心血管疾病的影响。

方法

利用欧洲人载脂蛋白B/载脂蛋白A1比值(BAR)、脂蛋白(a)[Lp(a)]和甘油三酯(TG)的全基因组关联研究(GWAS)汇总统计数据进行两样本MR和MVMR分析,以评估BAR、Lp(a)和TG与冠状动脉疾病(CAD)之间的因果关系。

结果

在两样本MR分析中,BAR的遗传预测与CAD显著相关(逆方差加权法(IVW)β=0.255;OR=1.291;95%CI=1.061-1.571;P=0.011)。MVMR研究表明,BAR(β=0.373;OR=1.452;95%CI=1.305-1.615;P=7.217×10⁻¹²)、Lp(a)(β=0.238;OR=1.269;95%CI=1.216-1.323;P=2.990×10⁻²⁸)和TG(β=0.155;OR=1.168;95%CI=1.074-1.270;P=2.829×10⁻⁴)与CAD显著相关。在对LASSO回归进行进一步共线性分析后,IVW、MR-Egger、MR-Lasso和中位数法的多变量分析结果相似。

结论

BAR与冠状动脉疾病存在因果关系。BAR是CAD风险的独立预测因子,独立于常规血脂测量和其他风险因素。TG和Lp(a)可能与CAD存在因果关系,有待临床实践验证。

https://cdn.ncbi.nlm.nih.gov/pmc/blobs/cc77/11170140/0f0e260403f4/gr1.jpg

文献AI研究员

20分钟写一篇综述,助力文献阅读效率提升50倍。

立即体验

用中文搜PubMed

大模型驱动的PubMed中文搜索引擎

马上搜索

文档翻译

学术文献翻译模型,支持多种主流文档格式。

立即体验