Suppr超能文献

光谱双层CT、D-二聚体浓度及新型冠状病毒肺炎在肺栓塞诊断中的作用

Roles of spectral dual-layer CT, D-dimer concentration, and COVID-19 pneumonia in diagnosis of pulmonary embolism.

作者信息

Jůza Tomáš, Válek Vlastimil, Vlk Daniel, Dostál Marek, Andrašina Tomáš

机构信息

Department of Radiology and Nuclear Medicine, Faculty of Medicine, University Hospital Brno, Masaryk University, Jihlavská 340/20, Brno 625 00, Czech Republic.

Department of Biophysics, Faculty of Medicine, Masaryk University, Kamenice 126/3, Brno 625 00, Czech Republic.

出版信息

Eur J Radiol Open. 2024 Jun 4;12:100575. doi: 10.1016/j.ejro.2024.100575. eCollection 2024 Jun.

Abstract

PURPOSE

To demonstrate advantages of spectral dual-layer computed tomography (CT) in diagnosing pulmonary embolism (PE). To compare D-dimer values in patients with PE and concomitant COVID-19 pneumonia to those in patients without PE and COVID-19 pneumonia. To compare D-dimer values in cases of minor versus extensive PE.

METHODS

A monocentric retrospective study of 1500 CT pulmonary angiographies (CTPAs). Three groups of 500 consecutive examinations: 1) using conventional multidetector CT (CTC), 2) using spectral dual-layer CT (CTS), and 3) of COVID-19 pneumonia patients using spectral dual-layer CT (COV). Only patients with known D-dimer levels were enrolled in the study.

RESULTS

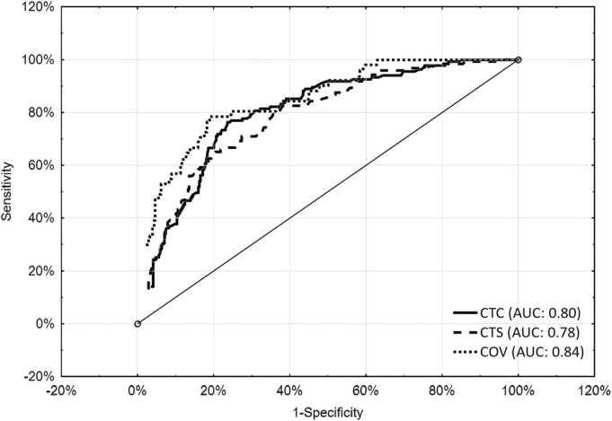
Prevalence of inconclusive PE findings differed significantly between CTS and CTC (0.8 % vs. 5.4 %, < 0.001). In all groups, D-dimer levels were significantly higher in PE positive patients than in patients without PE (CTC, 8.04 vs. 3.05 mg/L; CTS, 6.92 vs. 2.57 mg/L; COV, 10.26 vs. 2.72 mg/L, < 0.001). There were also statistically significant differences in D-dimer values between minor and extensive PE in the groups negative for COVID-19 (CTC, 5.16 vs. 8.98 mg/L; CTS 3.52 vs. 9.27 mg/L, < 0.001). The lowest recorded D-dimer value for proven PE in patients with COVID-19 pneumonia was 1.19 mg/L.

CONCLUSION

CTPAs using spectral dual-layer CT reduce the number of inconclusive PE findings. Plasma D-dimer concentration increases with extent of PE. Cut-off value of D-dimer with 100 % sensitivity for patients with COVID-19 pneumonia could be doubled to 1.0 mg/L. This threshold would have saved 110 (22 %) examinations in our cohort.

摘要

目的

证明光谱双层计算机断层扫描(CT)在诊断肺栓塞(PE)方面的优势。比较合并新型冠状病毒肺炎(COVID-19)的PE患者与未合并PE及COVID-19肺炎患者的D-二聚体值。比较轻度与广泛PE患者的D-二聚体值。

方法

对1500例CT肺动脉造影(CTPA)进行单中心回顾性研究。连续检查分为三组,每组500例:1)使用传统多排CT(CTC);2)使用光谱双层CT(CTS);3)COVID-19肺炎患者使用光谱双层CT(COV)。本研究仅纳入已知D-二聚体水平的患者。

结果

CTS与CTC之间,PE诊断结果不确定的患病率差异显著(0.8%对5.4%,P<0.001)。在所有组中,PE阳性患者的D-二聚体水平显著高于无PE患者(CTC组,8.04对3.05mg/L;CTS组,6.92对2.57mg/L;COV组,10.26对2.72mg/L,P<0.001)。在COVID-19阴性组中,轻度与广泛PE患者的D-二聚体值也存在统计学显著差异(CTC组,5.16对8.98mg/L;CTS组,3.52对9.27mg/L,P<0.001)。COVID-19肺炎确诊PE患者记录到的最低D-二聚体值为1.19mg/L。

结论

使用光谱双层CT的CTPA减少了PE诊断结果不确定的数量。血浆D-二聚体浓度随PE严重程度增加。对于COVID-19肺炎患者,灵敏度为100%的D-二聚体临界值可提高一倍至1.0mg/L。该阈值可使我们队列中的110例(22%)检查得以避免。

https://cdn.ncbi.nlm.nih.gov/pmc/blobs/6e5a/11179566/f784d07f84a6/gr1.jpg

文献AI研究员

20分钟写一篇综述,助力文献阅读效率提升50倍。

立即体验

用中文搜PubMed

大模型驱动的PubMed中文搜索引擎

马上搜索

文档翻译

学术文献翻译模型,支持多种主流文档格式。

立即体验